所屬科目:教甄◆數學
1.資優班林老師規畫一項「智慧教室」課程用以提升學生的創造思考與問題解決能力,老師讓學生思考現行學校與教室的優缺點及在其中學習的感受,並提出如何結合科技設計具實用性的教室環境,其所運用的創造思考教學最可能是以下哪一種?(A)KJ法(B)六頂思考帽(C)屬性列舉法(D)創造性問題解決法
2.資優班王老師根據學生的專長與優勢進行了加深加廣教學設計,並讓學生探索、發現新的可能,以激發學生的高層次思考,依照資優學生課程調整的面向,王老師的課程調整包含下列哪些調整?甲、學習內容乙、學習歷程丙、學習環境丁、學習評量(A)甲乙(B)丙丁(C)甲丙(D)乙丁
3.下列何者並 非 「成就導向模式」(AchievementOrientationModel)(Seigle,McCoach,&Roberts,2017)中影響學習動機的要素?(A)環境感知(B)目標評價(C)自我調節(D)自我效能
4.教育部日前頒布為期五年的「社會情緒學習中長程計畫」,對教育現場推動社會情緒學習(SocialEmotionalLearning,SEL)帶來新契機。依據該計畫內容,下列敘述何者較為適切?(A)該計畫主要參採聯合國經濟合作暨發展組織(OECD)提出的SEL概念架構(B)SEL是以學習為基礎,學習層面涵蓋人際互動、同理關懷、道德責任等(C)SEL中的「人際關係」與「負責任的決定」近似12年國教「自主行動」核心素養(D)轉化型SEL重視批判思考,促進社會正義與共同福祉
5.小莉是一位兼有學習障礙的資優班學生,喜歡數學,很有創意,不過除了數學,其餘科目的表現不太理想,不喜歡寫作業,閱讀速度慢且常常搞錯符號、念錯字,有時會感到挫敗而沒有自信。身為小莉的輔導老師,以下的教學輔導策略,哪些較為適切?
甲、支持小莉持續學習數學並進行數學的專題研究
乙、提醒小莉要花時間平均念每一個科目以免成績不佳
丙、課堂上鼓勵小莉發表自己的想法,展現其創意、建立自信
丁、提供機會讓小莉多多練習閱讀與口語發表,加強識字訓練(A)甲丙(B)甲丁(C)乙丙(D)乙丁
6.今年帶剛入學的七年級資優班洪老師發現,這些新生進入國中後感覺課業變多也變難,常覺得喘不過氣,也因為剛入國中,對班上同學感到陌生而疏遠,但不知道該如何和家裡說。根據學生目前的狀態,洪老師所規劃的情意發展課程方向,以下哪些較為適切?
甲、學校適應乙、壓力調適丙、能力成就與期待丁、生涯試探與規劃(A)甲乙(B)甲丙(C)乙丁(D)丙丁
7.依據112年公布之「特殊教育法」,有關需要協助、應加強鑑定與輔導之資賦優異學生,下列哪一類學生 不 包含在內?(A)文化殊異學生(B)身心障礙學生(C)特殊境遇家庭學生(D)離島或偏遠地區學生
8.資優班花老師為學生規劃個別輔導計畫(IGP)時,會參考公告在學校網站的課程計畫進行訂定。依據規定,下列哪些作法較為適切?
甲、教師可先掌握學生的基本資料與優弱勢能力,以進行區分性課程設計
乙、宜直接將事先擬訂並公告的資優課程與其教育目標,放入學生IGP中
丙、宜於學生開學後一個月內擬訂初步的IGP,包含學年學期目標的訂定
丁、宜掌握學生的優勢能力與興趣,依其需求進行學習內容、歷程等調整(A)甲乙(B)甲丁(C)乙丙(D)丙丁
9.為了理解問題解決的意涵,富元老師探究不同心理學派典對問題解決之界定,以下敘述何者較 不 適切?(A)依據連結論,問題解決是隨機試誤的結果(B)依據完形心理學,問題解決教學應著重將一般性通則遷移至特定情境的學習(C)依據完形心理學,問題解決障礙多半來自於既定心向造成的功能性固著(D)依據訊息處理理論,問題解決的關鍵是縮小問題空間
10.富元老師發現學生在解「西克曼骰」(SichermanDice)的問題時,呈現出以下的解題型態,以下何種解題方式認知負荷量較大?(A)甲生用嘗試錯誤法解題,並沒有分析策略有效性(B)乙生用爬山法解題,從「現狀」往前推直到目標達成(C)丙生用目標手段分析法解題,分析「現狀」與「目標」間差異(D)丁生用爬山法解題,選擇策略以接近目標
11.陽光國中資優教育的推動深獲肯定,十分符合Renzulli全校性充實模式的架構,依此模式中有關學校推行可能的特色,以下何者不包括在內?(A)有連續性的特殊教育服務(B)有專業的師資與教育資源(C)有完全參與的融合教育系統(D)有學生優勢評量與才能檔案
12.資優班郭老師鼓勵學生探索自己生涯的方向,並引導其多運用科技,掌握重要資訊、幫助學習,若依Betts的主動學習者模式,這些活動較屬於哪一向度的內容?(A)定向輔導(B)個人發展(C)充實活動(D)深入研究
13.資優班鄭老師帶領學生利用奔馳法改造教室的板擦,其中小新說:「可以選用不會沾染油性筆漬的水洗布,水清洗一下就成為新的板擦了。」這是屬於奔馳法中的哪一種功能?(A)Substitute替代(B)Combine結合(C)Modify修正(D)Eliminate消除
14.依據Dabrowski的正向非統整理論,個體的情緒發展會經過不斷的內在衝突而再次統整,並進入高一層的階段,從初期自我為中心、缺乏同理的階段,到產生內外在衝突、不斷尋找方向,最後產生自我的價值體系。其中,多數資優學生因有「自主」因素的內在驅力而與普通學生不同,主要會從下列哪一個階段開始產生變化?(A)單一階層的非統整階段(B)次級統整階段(C)組織化的多階層非統整階段(D)自發性的多階層非統整階段
15.根據Gagné的資優才能區分模式(DMGT),除了個人內在如能力、動機等因素,資優學生須經由下列哪些要素的催化而發展其才能?甲、環境因素乙、機會因素丙、守門人知識丁、發展/投入歷程(A)甲乙丙(B)甲丙丁(C)甲乙丁(D)乙丙丁
16.資優班趙老師在領導才能課程中引導學生觀察團隊成員彼此的優點並加以學習,且肯定成員執行任務的能力,以同理心與成員溝通互動。根據領綱,這是屬於領導才能中哪一種向度及其內涵?(A)任務導向(B)關係導向(C)變革導向(D)應變導向
17.東西國中資優班於七、八年級皆會規劃獨立研究課程,以引導學生根據自己的興趣主題進行研究。七年級資優班楊老師開始規劃獨立研究課程,其課程主題與方向,以下哪些較為適切?甲、提供學長姐的獨立研究報告供學生研讀乙、讓學生自選主題擬訂計畫,進行獨立研究丙、透過特定議題引導學生學習探究技巧與方向丁、結合時事,引導學生從中發現問題,確定研究方向(A)甲乙丙(B)甲乙丁(C)甲丙丁(D)乙丙丁
18.資優班勁富老師和同領域數學老師合作,開發彈性學習數學課程計畫,包含教材與教學策略,此計畫須經由該校課程評鑑小組審議,並給予回饋意見。這樣的作法較符合下列何者敘述?(A)課程規劃之評鑑,外部評鑑(B)課程設計之評鑑,內部評鑑(C)課程實施之評鑑,內部評鑑(D)課程效果之評鑑,外部評鑑
19.以下關於評量的理念敘述,何者較不適切?(A)教師採用深度學習的6C評分規準引導學生自評防疫措施專題,培養學生自我監控的能力,屬於「評量即學習」(assessmentaslearning)(B)教師利用測驗獲得學生對酒精化學性質的理解後,給予學生分數等第,屬於「學習的評量」(assessmentoflearning)(C)老師分析學生對酒精化學性質的迷思概念,並予以學習回饋,屬於「促進學習的評量」(assessmentforlearning)(D)老師先以紙筆測驗評量學生對酒精化學性質的理解,在再進行區分性教學,屬於「評量即學習」(assessmentaslearning)
20.在學習環境調整中有關「回應性的學習環境」的描述,下列何者較不適切?(A)學生可根據自己的表現自我評量(B)提供安全、接納且尊重的學習環境(C)提供多元且不同難易度的教材供選擇(D)給予學生大量的分組討論與競賽的機會
21.小月是一位中度聽覺障礙的學生,他參加資優鑑定時提出考試服務,有關考試服務審查的程序,下列作法何者較 不 適切?(A)考量小月的聽力限制,同意小月免考英聽而用閱讀測驗替代(B)念指導語時提供必要的文字提醒、提示或引導,以便充分了解(C)對於採唸讀為主的分測驗,宜用其他項目或改變測驗方式取代(D)允許配戴助聽器,並將相關的型號、助聽器外觀提供給主辦單位
22.小霖是新北市國中七年級的數理資優生,數學表現極佳,也有超前學習,老師鼓勵他參加免修鑑定。有關縮短修業年限的申請、審查與輔導程序,下列哪些作法較符合法令的規定?甲、由小霖的家長經考慮同意後向學校提出申請乙、由學校針對小霖數學的精熟程度採多元評量評估丙、學校將小霖鑑定的資料彙整,送教育局審查後始可實施丁、將小霖通過縮短修業年限後之需求與服務列入個別輔導計畫(A)甲乙(B)甲丙(C)乙丁(D)丙丁
23.依據「才能發展巨型模式」,下列何者不屬於「認知自我調整」:(A)專心致志(B)適當的練習策略(C)可教導性(D)目標設定
24.允倉老師採用「才能發展巨型模式」,引導學生分析「飛躍的羚羊」紀政女士的田徑運動員才能發展歷程。下列何者敘述較符合該模式的內涵?(A)運動員從專業表現邁向傑出巔峰時,圈內人知識是重要的心理社會技能(B)運動員屬於「產出型」傑出人物(C)運動員發展歷程會先是將素養發展為能力,再精進能力為專業表現(D)教練訓練運動員時,比較適合在技術學習中引發學生興趣
25.允倉老師的班上有一位資優生,對學習缺乏挑戰心,常感覺到自己沒有充分能力完成資優班的學習任務,對未來生涯缺乏憧憬。這位學生較缺乏下列哪一項心理社會技能?(A)與兩難共處(B)心理韌性(C)自我效能與自信(D)焦慮管理
26.數線上由左至右依次有四點A、C、?、B。已知這四點任兩點之間的距離都是正整數,且長度總和是29。請問線段AB的長度為何?(A)12(B)11(C)10(D)9
27.=c且=2。求c的值為何?(A)√15(B)√35(C)√55(D)√75
28.四個全等的正方形,如圖,其重疊部分的面積為A、B、C平方公分,未重疊部分有26、27、28、19平方公分。請問A2+B2+C2之值會是多少?(A)34(B)41(C)50(D)59
29.用一個最大的數,使得除1905、2587、3951、7020和8725都留下相同的餘數,請問此餘數會是多少?(A)200(B)210(C)220(D)230
30.正四面體ABCD中,M、N分別是BC、?A̅̅̅̅的中點。求直線AM、BN所成的銳角的餘弦值為何?(A)(B)(C)(D)
31.ABC???是一個邊長為2的正六邊形。已知一拋物線通過A、B、C、?四點。求此拋物線的焦點到準線的距離為何?(A)2√3(B)√3(C)(D)
32.長蠟燭比短蠟燭長3公分,長蠟燭和短蠟燭分別在晚上5:30和7:00點燃。等到晚上9:30兩根蠟燭剛好等長;一直到最後,長蠟燭和短蠟燭分別在晚上11:30和晚上11:00燃燒完。請問長蠟燭原來的長度為多少公分?(A)24公分(B)25公分(C)26公分(D)27公分
33.四邊形ABC?中,已知=1,∠ABC=100°,∠C?A=130°。則的長度為何?(A)(B)1(C)√2(D)√3
34.已知θ為銳角,若sinθ−cosθ=,則sinθ+cosθ等於多少?(A)(B)(C)(D)
35.兩正實數x、y滿足x2+y2=1。求的最小值為何?(A)√2(B)2√2(C)3√2(D)4√2
36.將1、2、3、4、5、6、7的7!個排列中的每一個排列都當作七位數。其中有多少個是11的倍數?(A)524(B)532(C)548(D)576
37.複數z1,z2滿足|z1|=3,|z2|=5,|z1+z2|=7,求的主幅角?(A)(B)(C)(D)
38.2025年中華職棒有中信兄弟、統一獅、台鋼雄鷹、樂天桃猿、味全龍、富邦悍將這六支隊伍。假設今年例行賽僅採單循環賽來爭奪季後賽資格。當賽程進行到一個階段時,統計前五支隊伍已經比賽過的場數分別為:中信兄弟:5場、統一獅:4場、台鋼雄鷹:3場、樂天桃猿:2場、味全龍:1場。請問富邦悍將已經比過幾場了?(A)2(B)3(C)4(D)5
39.假設惡魔島上的監獄有2025間牢房關犯人,牢房編號分別為1、2、3、4、…2023、2024、2025。適臨總統就職,實施特赦,獄方決定以下列方式來釋放部分犯人:
•牢房開關按一次便打開,再按一次又關起來。
•現在,從第1間開始算,只要是1的倍數,全部按一次;•然後,再從第2間開始,只要是2的倍數,再按一次。
•依此類推,第k間開始,只要是k的倍數就再按一次。
•如此一直到2025的倍數按完為止,仍開者便立即釋放。
請問最後被釋放的犯人共有多少人?(A)43(B)44(C)45(D)46
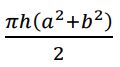
40.有一個圓錐台,如圖,其上底圓和下底圓的半徑分別為a和b,且兩底的距離為h。若要用a,b,h表示此圓錐台的體積公式,請問下列哪一選項最有可能是圓錐台的體積公式?
(A)(B)(C)(D)
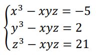
41.設方程組
的正實數解為x、y、z,求x+y+z的值?(A)6(B)7(C)8(D)9
42.在∆ABC中,D為的中點,=3,,若∆ABC面積為3。求∠A=?(A)(B)(C)(D)
43.設撲克牌黑色點數為負數,紅色點數為整數,例如「黑桃3」表示「−3」,「紅心10」表示「+10」,「鬼牌」表示「0」。現有五張撲克牌,任意兩張撲克牌的點數相加之後得到十個數依序為0、2、4、4、6、8、9、11、13、15。若將這五張撲克牌由小到大排序,請問最中間撲克牌(第三張)的點數是多少?(A)1(B)3(C)5(D)7
44.一個凸n邊形,利用不相交的對角線可以切割成n−2個三角形。設表示n邊形所有不同三角形切割的方法數。以5邊形為例,不同三角形切割的方法共有T5=5。試求T6=?
(A)10(B)12(C)14(D)16
45.試求下面10×10表格中的數字總和為多少?
(A)385(B)395(C)405(D)415
46.方程式2(x−1)sin?x+1=0在區間[−2,4]之內的所有解的和為何?(A)8(B)9(C)10(D)11
47.請問下列哪一個選項的x值為方程式x=1+的解?(A)(B)(C)x=1.414213562373095(D)x=√3
48.使得+256為平方數的正整數n有幾個?(A)0(B)1(C)2(D)3
49.隨機將正五邊形(不可旋轉也不可翻面)的五個頂點染紅、白、藍三個顏色之一,任兩相鄰頂點不同色的機率是最簡分數ba。則a+b=?(A)61(B)71(C)81(D)91
50.甲乙兩人輪流從1999個硬幣中取硬幣,每次只能取走1個、2個、或3個。取到最後一個硬幣的輸。若甲先取,他第一個取多少個則保證必勝?(A)1(B)2(C)3(D)先手沒有必勝法