所屬科目:抽樣方法
(一)的期望值E()=?
(二)的變異數V()=?
(三)的偏誤Bias()=?
(四)的均方差MSE()=?
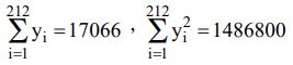
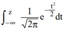
四、某統計專家擬調查某甘蔗試驗農場改良種「台灣一號甘蔗」的含糖量,但因不知甘 蔗總株數 N,致不宜採用簡單隨機抽樣,故決定改用〝七中取一〞的系統抽樣法, 下表所列資料是所抽甘蔗樣本的含糖量百分比(%)。(25 分) 且經計算得下列資料: 試估計該農場改良種甘蔗的平均含糖量µ之值,及其估計的 95%誤差界限。 註:設 Z~N(0,1),令Φ(z) = ,已知Φ(1.645) = 0.95,Φ(1.96) = 0.975。