題組內容
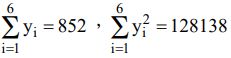
二、茲有一 N=6 之有限母體,其觀察值分別為 y1=98, y2=102, y3=154, y4=133, y5=190, y6=175,今有一抽樣設計自此母體中抽出樣本數 n=3 的隨機樣本,其可能出現的結果如下表:
令
表示母體平均數,
表示樣本平均數,且已知
試根據此抽樣設計的結果求下列各值:(20 分)
(一)
的期望值E(
)=?
二、茲有一 N=6 之有限母體,其觀察值分別為 y1=98, y2=102, y3=154, y4=133, y5=190, y6=175,今有一抽樣設計自此母體中抽出樣本數 n=3 的隨機樣本,其可能出現的結果如下表:
令
表示母體平均數,
表示樣本平均數,且已知
試根據此抽樣設計的結果求下列各值:(20 分)
(一)
的期望值E(
)=?