所屬科目:微積分
1. Given that x = r cosθ and y = r sinθ , then
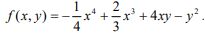
2. If and then
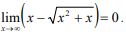
3. If , then
5. If f ′ is continuous on R = (−∞,∞) and f(x) = 0 , then
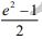
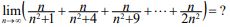
8. The
10.
(A)O (B)X
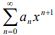
11. If the interval of convergence for power series is (-2,2) , then the interval of convergence for power series is :
12.
13. Find the arc length of the curve , 1 ≤ x ≤ 4 .
15.
17. The gamma function Γ(n) is defined by
19. Find the terms of the Maclaurin series for , as far as the term in x3 .
20. Find the volume of the solid bounded below by the xy-plane and above by the paraboloid z = 1 ( x2 + y2)
(A) π (B) π/2 (C) π/3 (D) π/4 (E) π/8
22.
23. If , find F′(x) where x ≠ 0 .
24.
25.