阿摩線上測驗
登入
首頁
>
微積分
> 94年 - 094年高等三級暨普通第一試核子工程(高考)#38114
94年 - 094年高等三級暨普通第一試核子工程(高考)#38114
科目:
微積分 |
年份:
94年 |
選擇題數:
65 |
申論題數:
0
試卷資訊
所屬科目:
微積分
選擇題 (65)
1 試求
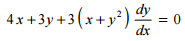
=? (A)4 (B) 1/4 (C)2 (D)1/2
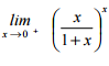
2 試求
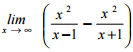
= ? (A)0 (B) 1(C)2 (D)3
3 3 試求
= ?(A) 0(B)1 (C)2 (D) ∞
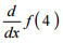
4 設
,求
= ?
5. 試求曲線
在點(5, 4)處的切線斜率: (A)-1 (B)1 (C)2 (D)-2
6 定積分
值為: (A) 7/16(B)8/15 (C)3/14 (D)6/15
7 .不定積分
=?
8 計算由曲線 y + x
2
=6 及 直線 y + 2x − 3 = 0 所圍的有限區域面積值為: (A)32/3 (B)47/4 (C)21/5 (D)43/4
9 不定積分
=?
10 定積分
值為: (A)π/4 (B)1 (C)π (D)π/2
11 設
,則 F 之導數
為:
12 定積分
值為: (A)2 (B)1 (C)0 (D) -1
13 令
,求 f
x
(2 , 4 ) x =?(A)-2e
2
(B)-e
2
(C)e/2 (D)e
2
/2
14 下列何者為 tan x
− 1
的冪級數?
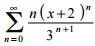
15 冪級數
之收斂範圍為: (A) (−5 ,1 ) (B)( −3 ,3) (C) ( −6 , 2) (D)(−1 , 6 )
16 設Ω為以原點為圓心的單位圓域,則重積分
的值為何?
(A) (e +1 ) π
(D) (e −1 ) π
17 求 x y + 2y z − x z2 +10 =0 在點(−5 ,5 ,1 ) 處的切平面方程式: (A)3 x + 4y − 20 z +15 = 0 (B)4 x −3y + 20 z +15 = 0 (C)3 x − 20y + 4 z +111 = 0 (D) 20 x + 3y +4 z +81 = 0
18 求函數 f (x, y ) = x y + 2 y
2
在點( x , y) =(1, 2 ) 的方向導數的最大值為: (A) √85(B)√58 (C)√63 (D)√53
19 求線積分
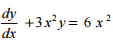
,其中 C 為從( 0 ,0) 到( 1,0 ) ,從 ( 1,0) 到( 0,1) 再從(0,1 ) 到(0 ,0 ) 三 角形的邊線: (A)1/3 (B)1/4 (C)1/6 (D)1/8
20 下列何者為常微分方程
的解?
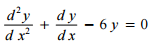
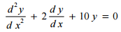
21 下列何者為微分方程
的解?
22 下列何者為常微分方程
的解? (A)2x
3
+ 3x y + y
2
=C (B)2x
2
+ 3x y + y
3
=C (C)2 x
3
+ 2 x y + 3y
2
=C (D)2x
3
+ 6x
2
y + y
3
=C
23 下列何者為微分方程
的解?
24 下列何者為微分方程
的解?
25 曲線 y
2
= x
3
,求其從點 (1,1 ) 到點 ( 4 ,8) 的曲線長度為:
26 如果人類對可控制式之核融合科技問題能獲得突破與解決,則地球上所蘊含的什麼,將可提供取之 不盡、用之不竭的核融合能源? (A) 氫的同位素 (B)氦的同位素 (C)氮的同位素 (D)氧的同位素
27 通常調壓槽(pressurizer)會出現在下列那一種反應器之核能蒸汽供應系統中? (A)沸水式反應器 (B)壓水式反應器 (C)氣冷式反應器 (D)滋生式反應器
28 放射性核種釋放出α 粒子以後,所形成的子核種與原先母核種之間的關係,下述何者是正確的? (A)子核種的原子序數比母核種的原子序數大 1 (B)子核種的原子序數比母核種的原子序數大 2 (C)子核種的原子序數比母核種的原子序數小 1 (D)子核種的原子序數比母核種的原子序數小 2
29 當穩定核種(非放射性核種)的原子序數大到某一程度(例如大於 25)時,核內的: (A)中子的數目必小於質子的數目 (B)中子的數目必等於質子的數目 (C)中子的數目必大於質子的數目 (D)中子的數目可大於亦可小於質子的數目
30 急性的全身輻射過量暴露會影響到人體所有的器官及系統,而有可能產生急性輻射症候群。急性輻 射症候群可再分為三小類。下述何者除外? (A)造血的症候群 (B)骨骼的症候群 (C)胃腸道的症候群 (D)中樞神經系統的症候群
31 於輻射度量中常以BF
3
比例計數器度量中子,主要是應用下列那一個同位素與慢中子的作用截面很大的 原理? (A)
10
B (B)
11
B (C)
19
F (D)
20
F
32 於輻射度量中常需引用統計方法,如果兩個度量值的標準差分別為σ1 及σ2,則此二值相減後之差值 其標準差σ 應為:
33 已知某一放射性核種的半衰期為 6.93 天,則此一放射性核種的平均壽命為多少天? (A) 1 天 (B)5 天 (C)10 天 (D)13.86 天
34 輻射生物學的名詞 LD
50 / 30day
代表: (A)30%的動物在 50 天之後死亡的輻射劑量 (B)50%的動物在 30 天之內復原的輻射劑量 (C)50%的動物在 30 天之後死亡的輻射劑量 (D)50%的動物在 30 天之內死亡的輻射劑量
35 室溫時 (T= 20
o
C 或 . 293.15
o
K )熱中子之能量為 0.0253 eV,此熱中子之速率為: (A) 22 公尺/秒(B)220 公尺/秒 (C)2200 公尺/秒 (D)22000 公尺/秒
36 被熱中子撞擊後有可能發生核分裂之材料,稱為易裂材料(fissile material),唯一天然存在之易裂 材料為: (A)
233
U (B)
235
U (C)
239
Pu (D)
241
Pu
37 任一元素之所有原子個數中某一同位素所占比例,稱為該同位素之豐度並以 a/o(atom percent)表示 。天然鈾各同位素
235
U 、
238
U 和
234
U 之豐度分別為: (A)0.0056a/o、0.7205a/o、99.274a/o (B)0.7205a/o、0.0056a/o、99.274a/o (C) 0.7205a/o、99.274a/o、0.0056a/o (D)99.274a/o、0.7205a/o、0.0056a/o
38 核燃料之燃耗度(fuel burnup)是對每單位核燃料中已產生能量多寡的一種測度,可用以了解核燃料 之燃耗程度,常用單位為 MWD/T,其中 MWD 為“百萬瓦日"之縮寫。1 MWD 相當於多少克鈾-235 完全分裂所釋出之能量? (A) 0.105 克 (B)1.05 克 (C)10.5 克 (D)105 克
39 於反應器物理提到的單能群中子擴散方程式,若 D為中子擴散係數、φ 為中子通率、Σ
a
為介質之中子吸收巨觀截面、 S 為中子源強度,則當中子擴散達到平衡後,中子擴散方程式為:
40 根據布勒格−戈雷(Bragg −Gray)原理,在一被固體吸收介質圍繞著的小空腔內之氣體,所產生的 游離量: (A)正比於固體之吸收能量 (B)反比於固體之吸收能量 (C)與固體之吸收能量無關 (D)與固體吸收能量之平方成反比
41 於反應器物理提到的反應器週期,其定義為反應器功率增(或減)為原來之幾倍(或幾分之一)所 需的時間?(下述只提增為原來幾倍之部分) (A)√2倍 (即 1.4142倍)(B)2倍 (C)e倍 (即2.71828) (D)10倍
42 典型沸水式反應器(以我國核二廠之 BWR 為例)之反應器內,爐心出口處飽和蒸汽溫度為: (A)100
o
C (B 288
o
C) (C) 551
o
C(D) 850
o
C
43 核反應器燃料更換型態 (reloading pattern) 之設計,主要係與燃料營運策略 (fuel management scheme) 有關,一般可分為傳統型態及目前被廣泛採用之 L
3
P 型態兩種。 L
3
P 燃料更換型態係將: (A)燃耗過一或二週期之燃料放入爐心中央位置,新燃料放入爐心外圍,每次更換約 3/10 爐心燃料 (B)燃耗過一或二週期之燃料放入爐心中央位置,新燃料放入爐心外圍,每次更換約 1/3 爐心燃料 (C)燃耗過一或二週期之燃料放入爐心外圍,新燃料與其他燃耗過燃料交錯散布於爐心中央位置,每 次更換約 3/10 爐心燃料 (D)燃耗過一或二週期之燃料放入爐心外圍,新燃料與其他燃耗過燃料交錯散布於爐心中央位置,每 次更換約 1/3 爐心燃料
44 於反應器物理提到,控制反應器功率上升、下降或維持穩定運轉之方法主要有四種,針對沸水式 反應器(BWR)而言,其中有一種不曾被採用,請問是那一種? (A)控制棒 (B)可溶性毒劑 (C)可燃性毒劑 (D)爐心冷卻劑流量控制
45 核能電廠儀表與控制系統中,移動式爐內偵檢器系統(movable in-core detector system)是利用移動 式爐內何種偵檢器,從反應器壓力槽底部插入爐心內,移動至爐心頂部,以進行測量? (A)α偵檢器 (B) β偵檢器 (C)γ偵檢器 (D)中子偵檢器
46 於輻射度量之計測統計及誤差處理上,常會引用高斯或常態分布,若其標準差為σ ,則預測值位於 高斯分布 90%機率之範圍為: (A) ±0.68σ (B)±1σ (C)±1.64σ (D)±2σ
47 某核能電廠之一部機,其額定熱功率為 2775 MWt,其額定電功率為 945 MWe,則其熱效率之設計 值約為: (A) 294% (B)147% (C)58% (D)34%
48 輻射偵測器之偵測效率,為方便起見,通常將偵測時之計數效率分成絕對(absolute)與固有 (intrinsic)效率兩類;絕對效率定義為: (A)效率=所記錄脈衝的個數/入射於偵測器的輻射個數 (B)效率=所記錄脈衝的個數/射源所發射的輻射個數 (C)效率=入射於偵測器的輻射個數/射源所發射的輻射個數 (D)效率=射源所發射的輻射個數/入射於偵測器的輻射個數
49 典型壓水式反應器每一冷卻劑系統環路均配置一蒸汽產生器(steam generator,SG)。冷卻劑離開反 應器後:
(A)經由冷端管路流至蒸汽產生器管(SG tube)之外,並將熱量傳給管內之水,以使之變成蒸汽
(B)經由冷端管路流至蒸汽產生器管之內,並將熱量傳給管外之水,以使之變成蒸汽
(C) 經由熱端管路流至蒸汽產生器管之外,並將熱量傳給管內之水,以使之變成蒸汽
(D)經由熱端管路流至蒸汽產生器管之內,並將熱量傳給管外之水,以使之變成蒸汽
50 某人甲狀腺(組織加權因數 0.03)接受 3 西弗加馬輻射照射後,導致得甲狀腺癌的機率為多少? (已知甲狀腺標稱致命癌症機率為 0 .5× 10
−3
/西弗) (A)1. 5 ×10
−5
(B) 4. 5 ×10
−5
(C)1 . 5× 10
−3
(D)4 .5× 10
−3
51 一靜止電子質量單位的等效能量是: (A)0.511 MeV (B) 1.022 MeV (C)139 MeV (D)931 MeV
52 於反應器物理提到分裂產物毒害(fission product poisoning)時,分裂產物中有些核種之熱中子吸收 截面甚大,例如: (A)
149
Xe 及
135
Sm (B)
145
Xe 及
139
Sm (C)
139
Xe 及
145
Sm (D)
135
Xe 及
149
Sm
53 於反應器物理提到一參數“反應度ρ",ρ=0 表示臨界,ρ>0 表示超臨界,而ρ<0 表示次臨界 。又沸水式反應器定義之空泡分率(void fraction)為爐心內水蒸汽體積對水蒸汽及液態冷卻劑體積 和之比。反應度與空泡分率之間的關係為,當空泡分率增加時: (A)反應度增加 (B)反應度減少 (C) 反應度不變 (D)反應度先增加再減少
54 在天然鈾中
238
U 含量很高,在未加適當緩速劑以協助將中子降低能量之情況下,不管其質量有多大 ,均無法達到臨界狀態。能使天然鈾臨界之緩速劑目前已知有三種,請問下述何者不是? (A)鈹 (B)石墨 (C)重水 (D)水
55 典型壓水式反應器(以我國核三廠之 PWR 為例)之反應器內,主冷卻劑系統壓力為: (A) 22.5 psia(B)225 psia (C)2250 psia (D)22500 psia
56 俗稱“核島(nuclear island)” 之核能蒸汽供應系統不包括下列那一項? (A)核反應器 (B)反應器冷卻劑系統 (C)反應器保護系統和特設安全裝置(engineered safety features) (D)凝結水與飼水系統
57 增建因數 B 為加馬輻射屏蔽計算時常被引用的一個因數,B 值不會因為下列那一項的變更而有不同 的值? (A)加馬輻射通率 (B)屏蔽材料 (C)加馬輻射能量 (D)屏蔽厚度
58 於輻射度量使用之充氣式偵檢器,其特性,下列敘述何者正確? (A)蓋革計數器的準確度比游離腔高 (B)游離腔的靈敏度比蓋革計數器高 (C)比例計數器的操作電壓比蓋革計數器高 (D)蓋革計數器的操作電壓比游離腔高
59 於輻射度量使用之蓋革計數器,常添加有機分子或以下那種氣體,做為焠息氣體,來抑制二次電子的 產生? (A)氫氣 (B)氬氣 (C) 氮氣 (D)氯氣
60 於反應器中當燃料溫度增高時,燃料對中子吸收截面之共振(resonance): (A)將會變窄,且共振最高截面值亦會降低 (B)將會變窄,但共振最高截面值則會增高 (C)將會變寬,且共振最高截面值亦會增高 (D)將會變寬,但共振最高截面值則會降低
61 典型壓水式反應器(以我國核三廠之 PWR 為例)之反應器爐心內,燃料組件形狀為: (A) 8×8 方陣型(B)8×8 圓筒狀 (C)17×17 方陣型 (D)17×17 圓筒狀
62 能量為 Eγ 的光子與自由電子發生康普吞碰撞後,散射光子能量為 E 'γ ,而散射電子之動量為 p,且散 射光子與散射電子與入射光子所夾之散射角分別為 θ 與φ ,又光速為c ,則:
63 核分裂後放出之中子稱為分裂中子(fission neutron)。絕大部分之分裂中子均在核分裂之瞬間立 即放出,稱為瞬發中子(prompt neutron)。瞬發中子能譜(spectrum)X ( E) 可以下列何式表示?( E 之單位為 MeV)
64 體內劑量計算中,如果放射性同位素進入體內後,同時積存在兩個器官,其中一個積存 10%的量且 每 2 天排出一半量,另一個積存 90%的量且每 110 天排出一半量,則此放射性同位素在體內之平均 駐留時間(The mean residence time)是多少天? (A) 1.8 天 (B)98.8 天 (C)99.2 天 (D)142.8 天
65 在一實驗室意外事故,保健物理人員利用生物學鑑定度量與人體掃描的數據,算出一工作人員的甲 狀腺等效劑量為 61.5 mSv,而全身劑量為 0.13 mSv,則該工作人員的有效等效劑量為何?(已知甲 狀腺的組織加權因數為 0.05) (A) 0.13 mSv(B)3.21 mSv (C)61.37 mSv (D)61.63 mSv
申論題 (0)
相關試卷
114年 - 114 公務升官等考試_薦任_物理:微積分#133273
114年 · #133273
114年 - 114 一般警察特種考試_三等_消防警察人員:微積分#127792
114年 · #127792
113年 - 113 普通考試_天文:微積分#121499
113年 · #121499
113年 - 113 一般警察特種考試_三等_消防警察人員:微積分#120498
113年 · #120498
112年 - 112 公務升官等考試_薦任_物理:微積分#117315
112年 · #117315
112年 - 112 普通考試_天文、氣象:微積分#115417
112年 · #115417
112年 - 112 一般警察特種考試_三等_消防警察人員:微積分#114953
112年 · #114953
112年 - 112 身心障礙特種考試_四等_氣象:微積分#113932
112年 · #113932
111年 - 111 普通考試_氣象:微積分#109324
111年 · #109324
111年 - 111 一般警察特種考試_三等_消防警察人員:微積分#108604
111年 · #108604