阿摩線上測驗
登入
首頁
>
微積分
> 94年 - 94 公務、關務升官等考試_簡任_物理:微積分#37390
94年 - 94 公務、關務升官等考試_簡任_物理:微積分#37390
科目:
微積分 |
年份:
94年 |
選擇題數:
0 |
申論題數:
10
試卷資訊
所屬科目:
微積分
選擇題 (0)
申論題 (10)
【已刪除】一、設 f(x)=
,試求 f
(14)
(x)。(10 分)
【已刪除】二、試求極限
(10 分)
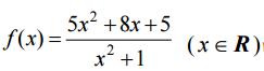
【已刪除】三、試求函數
的最大值與最小值。(10 分)
四、試求不定積分∫ sin
3
x dx 。(10 分)
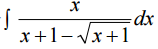
【已刪除】五、試求不定積分
。(10 分)
【已刪除】六、試證:不論 n 是任何正整數,恆有
。(10 分)
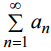
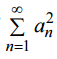
【已刪除】七、試證:若每個 a
n
都是正數且
是收斂級數,則
也是收斂級數。(10 分)
【已刪除】八、試討論冪級數
的收斂範圍 ( x ∈ R)。(10 分)
九、試求三個正數 x、y 與 z 使其和為 24 而且x
2
yz 的值為最大。(10 分)
【已刪除】十、設 R 是由三直線 y = x 、 y = −x 、 x = 1所圍成的三角形區域,試求二重積分
dxdy 之值。(10 分)
相關試卷
114年 - 114 公務升官等考試_薦任_物理:微積分#133273
114年 · #133273
114年 - 114 一般警察特種考試_三等_消防警察人員:微積分#127792
114年 · #127792
113年 - 113 普通考試_天文:微積分#121499
113年 · #121499
113年 - 113 一般警察特種考試_三等_消防警察人員:微積分#120498
113年 · #120498
112年 - 112 公務升官等考試_薦任_物理:微積分#117315
112年 · #117315
112年 - 112 普通考試_天文、氣象:微積分#115417
112年 · #115417
112年 - 112 一般警察特種考試_三等_消防警察人員:微積分#114953
112年 · #114953
112年 - 112 身心障礙特種考試_四等_氣象:微積分#113932
112年 · #113932
111年 - 111 普通考試_氣象:微積分#109324
111年 · #109324
111年 - 111 一般警察特種考試_三等_消防警察人員:微積分#108604
111年 · #108604