阿摩線上測驗
登入
首頁
>
微積分
> 96年 - 096年升官等、96年關務人員升官等物理(薦任)#34447
96年 - 096年升官等、96年關務人員升官等物理(薦任)#34447
科目:
微積分 |
年份:
96年 |
選擇題數:
0 |
申論題數:
7
試卷資訊
所屬科目:
微積分
選擇題 (0)
申論題 (7)
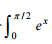
【已刪除】一、設
dt 其中 x > 0。試求導函數H '(x)及導數H '(1)。(15 分)
【已刪除】二、試求積分
cos(x) dx 之值。(15 分)
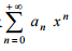
【已刪除】⑴設冪級數
的收斂半徑為δ ,其中δ > 0且對任何|x|<δ ,
。 試證對任何|x| <δ ,
。(10 分)
【已刪除】⑵試求級數
之值。(10 分)
【已刪除】四、試求積分
之值。(15 分)
五、設C 為平面 x + 2y + 5z = 0 與曲面 x
2
+ y
2
=5 相交的曲線。試求點(0, 0, 3) 到曲線C 的最短距離。(20 分)
【已刪除】六、設K 為曲線 y = x
2
與曲線 y =
所圍成的區域。試求積分
之值。 (15 分)
相關試卷
114年 - 114 公務升官等考試_薦任_物理:微積分#133273
114年 · #133273
114年 - 114 一般警察特種考試_三等_消防警察人員:微積分#127792
114年 · #127792
113年 - 113 普通考試_天文:微積分#121499
113年 · #121499
113年 - 113 一般警察特種考試_三等_消防警察人員:微積分#120498
113年 · #120498
112年 - 112 公務升官等考試_薦任_物理:微積分#117315
112年 · #117315
112年 - 112 普通考試_天文、氣象:微積分#115417
112年 · #115417
112年 - 112 一般警察特種考試_三等_消防警察人員:微積分#114953
112年 · #114953
112年 - 112 身心障礙特種考試_四等_氣象:微積分#113932
112年 · #113932
111年 - 111 普通考試_氣象:微積分#109324
111年 · #109324
111年 - 111 一般警察特種考試_三等_消防警察人員:微積分#108604
111年 · #108604