阿摩線上測驗
登入
首頁
>
微積分
> 96年 - 096年高等三級暨普通氣象(普考)#37389
96年 - 096年高等三級暨普通氣象(普考)#37389
科目:
微積分 |
年份:
96年 |
選擇題數:
0 |
申論題數:
5
試卷資訊
所屬科目:
微積分
選擇題 (0)
申論題 (5)
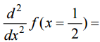
【已刪除】一、求
? (20 分)
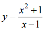
【已刪除】二、求
(20 分)
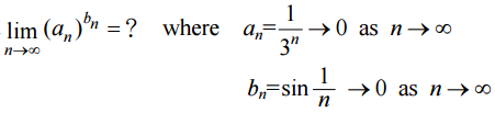
【已刪除】三、求
(20 分)
【已刪除】四、求 second derivative
=? where y = f (x)
satisfies y
3
+x
3
=xy and
(20 分)
【已刪除】五、求 maximal, minimal and inflection points of
並作圖。(20 分)
相關試卷
114年 - 114 公務升官等考試_薦任_物理:微積分#133273
114年 · #133273
114年 - 114 一般警察特種考試_三等_消防警察人員:微積分#127792
114年 · #127792
113年 - 113 普通考試_天文:微積分#121499
113年 · #121499
113年 - 113 一般警察特種考試_三等_消防警察人員:微積分#120498
113年 · #120498
112年 - 112 公務升官等考試_薦任_物理:微積分#117315
112年 · #117315
112年 - 112 普通考試_天文、氣象:微積分#115417
112年 · #115417
112年 - 112 一般警察特種考試_三等_消防警察人員:微積分#114953
112年 · #114953
112年 - 112 身心障礙特種考試_四等_氣象:微積分#113932
112年 · #113932
111年 - 111 普通考試_氣象:微積分#109324
111年 · #109324
111年 - 111 一般警察特種考試_三等_消防警察人員:微積分#108604
111年 · #108604