阿摩線上測驗
登入
首頁
>
微積分
> 97年 - 097年高等三級暨普通高3_核子工程#36113
97年 - 097年高等三級暨普通高3_核子工程#36113
科目:
微積分 |
年份:
97年 |
選擇題數:
0 |
申論題數:
7
試卷資訊
所屬科目:
微積分
選擇題 (0)
申論題 (7)
【已刪除】一、求下列微分方程之解:
(15 分)
二、求下列微分方程之通解: y"+4y'+4y=x
2
(15 分)
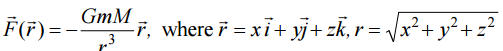
【已刪除】⑴
, where D is a region bounded by paraboloid z=x
2
+y
2
+4 and the plane z=20 (15 分)
【已刪除】⑵
(10 分)
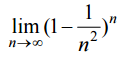
【已刪除】四、求下列極限值:
(10 分)
【已刪除】五、令
。 證明:若
。(15 分)
六、求函數 f( x,y,z) =x+2y+3z 在球 x
2
+y
2
+z
2
=25 上之最大值與最小值。(20 分)
相關試卷
114年 - 114 公務升官等考試_薦任_物理:微積分#133273
114年 · #133273
114年 - 114 一般警察特種考試_三等_消防警察人員:微積分#127792
114年 · #127792
113年 - 113 普通考試_天文:微積分#121499
113年 · #121499
113年 - 113 一般警察特種考試_三等_消防警察人員:微積分#120498
113年 · #120498
112年 - 112 公務升官等考試_薦任_物理:微積分#117315
112年 · #117315
112年 - 112 普通考試_天文、氣象:微積分#115417
112年 · #115417
112年 - 112 一般警察特種考試_三等_消防警察人員:微積分#114953
112年 · #114953
112年 - 112 身心障礙特種考試_四等_氣象:微積分#113932
112年 · #113932
111年 - 111 普通考試_氣象:微積分#109324
111年 · #109324
111年 - 111 一般警察特種考試_三等_消防警察人員:微積分#108604
111年 · #108604