阿摩線上測驗
登入
首頁
>
微積分
> 97年 - 097年高等三級暨普通高3_氣象#36136
97年 - 097年高等三級暨普通高3_氣象#36136
科目:
微積分 |
年份:
97年 |
選擇題數:
0 |
申論題數:
7
試卷資訊
所屬科目:
微積分
選擇題 (0)
申論題 (7)
一、求曲線f(x)=x
2/3
-1 從點(8,3)到點(27,8)之弧長(arc length)。(10 分)
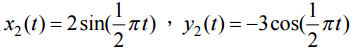
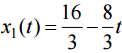
【已刪除】二、有兩個粒子同時在兩個不同的路徑上運動。第一個粒子沿著路徑
,
運動;另一個粒子沿著路徑
,
運動。求兩個粒子在何處碰撞。(15 分)
【已刪除】三、求
。(10 分)
四、求解: y"+4y = x + cos(2x), y(0) = 1, y'(0) = 0。(10 分)
五、求2x
2
y"-xy'+(1+x)y=0 的通解。(20 分)
六、求線積分 ) 3 1 ( 2 3 x ydx x dy C ,其中曲線C 包括兩部分:一為 xy 平面上從點(1,0)到點 (0,1)的四分之一圓周,二為從點(0,1)到點(2,1)的水平線段。(15 分)
七、考慮向量場(vector field) F =x
2
i+y
2
j+z
2
k。以八個頂點座標分別為(0,0,0)、 (1,0,0)、(0,1,0)、(0,0,1)、(1,1,0)、(1,0,1)、(0,1,1)、(1,1,1)之正立方體為例,驗證高 斯散度定理(Gauss divergence theorem)。(20 分)
相關試卷
114年 - 114 公務升官等考試_薦任_物理:微積分#133273
114年 · #133273
114年 - 114 一般警察特種考試_三等_消防警察人員:微積分#127792
114年 · #127792
113年 - 113 普通考試_天文:微積分#121499
113年 · #121499
113年 - 113 一般警察特種考試_三等_消防警察人員:微積分#120498
113年 · #120498
112年 - 112 公務升官等考試_薦任_物理:微積分#117315
112年 · #117315
112年 - 112 普通考試_天文、氣象:微積分#115417
112年 · #115417
112年 - 112 一般警察特種考試_三等_消防警察人員:微積分#114953
112年 · #114953
112年 - 112 身心障礙特種考試_四等_氣象:微積分#113932
112年 · #113932
111年 - 111 普通考試_氣象:微積分#109324
111年 · #109324
111年 - 111 一般警察特種考試_三等_消防警察人員:微積分#108604
111年 · #108604