阿摩線上測驗
登入
首頁
>
微積分
> 98年 - 098年身心障礙人員4等_氣象#36236
98年 - 098年身心障礙人員4等_氣象#36236
科目:
微積分 |
年份:
98年 |
選擇題數:
0 |
申論題數:
7
試卷資訊
所屬科目:
微積分
選擇題 (0)
申論題 (7)
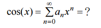
【已刪除】一、⑴求泰勒級數(Taylor series)
(10 分)
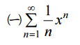
【已刪除】⑵求下列極限
(10 分)
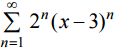
【已刪除】二、求下列積分值:
(20 分)
【已刪除】三、求下列微分: ( cos( ) 1) 2 2 e x + x + dx d x 。 (20 分)
【已刪除】⑴
(10 分)
【已刪除】⑵
(10 分)
五、在限制條件2x + 4y + 2z =16下,請計算 f (x, y,z) = x
2
+ 2y
2
+ z
2
之最小值。 (20 分)
相關試卷
114年 - 114 公務升官等考試_薦任_物理:微積分#133273
114年 · #133273
114年 - 114 一般警察特種考試_三等_消防警察人員:微積分#127792
114年 · #127792
113年 - 113 普通考試_天文:微積分#121499
113年 · #121499
113年 - 113 一般警察特種考試_三等_消防警察人員:微積分#120498
113年 · #120498
112年 - 112 公務升官等考試_薦任_物理:微積分#117315
112年 · #117315
112年 - 112 普通考試_天文、氣象:微積分#115417
112年 · #115417
112年 - 112 一般警察特種考試_三等_消防警察人員:微積分#114953
112年 · #114953
112年 - 112 身心障礙特種考試_四等_氣象:微積分#113932
112年 · #113932
111年 - 111 普通考試_氣象:微積分#109324
111年 · #109324
111年 - 111 一般警察特種考試_三等_消防警察人員:微積分#108604
111年 · #108604