所屬科目:警專◆乙組數學
8.已知袋中有n個白球與5個黑球。若從袋中一次取出兩個球均為白球的機率是,則n=? (A) 6 (B)7 (C) 8 (D) 11
10.甲、乙兩人打靶,根據以前的統計資料顯示,甲、乙兩人命中率分別為 與 ,若兩人的打靶互不影響,且每人對同一靶各射擊一發,則靶面恰中一發的機率為: (A) (B) (C) (D)
11.已知x、y均為整數,且x、y為偶數之機率分別為與,則;x+y為偶數之機率為: (A) (B) (C) (D)
12.設A與B互為獨立事件,已知P[A] =,P=,則P[B]= ? (A) (B) (C) (D)
15.有兩組數據x與y少均有10筆資料,已知平均數,且y對x的迴歸直線(最佳直線)通過(0,2), 則此直線的斜率為何? (A) 1 (B) (C) (D)
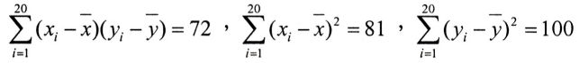
16.有一公司錄取新進員工20人,在上班前作了職前訓練。公司對這20名新進員工進行職前訓練前的測驗與職前訓練後的測驗,若訓練前的成績X與訓練後的成績Y經統計的結果後知:,。則X與Y的相關係數最接近哪個選項? (A)0.1 (B) 0.3 (C) 0.5 (D) 0.8
18.已知f(x)=x2+2x-3,且0≦x≦l,則下列敘述何者正確? (A)f(x)沒有最大值 (B)f(x)的最小值為-4 (C)f(x)的最小值為-3 (D)f(x)的最大值為1 。
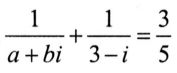
20.若a,b€R且,貝a+b= ? (A) 4 (B)5 (C)6 (D)7 。
21.已知下圖為一橢圓,則下列何者最有可能是橢圓的其中一個焦點? (A)A (B)B (C)C(D)D
23.在△ABC中,若D為上一點使=4,則=? (A)1 (B)2 (C)3 (D)4 。
24.若(3 + 4i)(cosθ + isinθ)<0,則是第幾象限角? (A) — (B)二 (C)三 (D)四。
25.關於正五邊形ABCDE,下列向量内積何者最小? (A) (B) (C) (D) 。
26.設,且,則= ? (A)2 (B)6 (C)8 (D)10 。
27.已知△A8C 的三頂點坐標為 A(2,0,-1)、B(6,-1,4)、C(1,-5,3),則∠C ? (A)(B)(C)(D)
28.若P(a,b,c)在平面E:3x -4y+12z = 8上,則 之最小值為: (A)1 (B)2 (C)3 (D)4 。
30.在空間中,球面S:(x+1)2+(y-1)2+(z-1)2=27、平面E:2x-2y + z = 6,則E與S所交出的圓面積為: (A)(B) (C) (D) 。
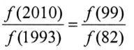
貳、多重選擇題: 31.已知a>1且f(x) = ax、g(x) = logax,則下列哪些選項是正確的? (A)若 g(3) = 2,則 f(2) = 3(B)若f(3) = 2,則 g(4) = 9 (C)y=f(x)與y = g(x)的圖形對稱於x+y= 0的直線 (D) (E)g(2010) - g(1993) = g(99) - g(82)。
32.某地區有甲、乙、丙三家報社,據調查顯示: 甲報社每年保留70%的顧客,而轉向乙報社與丙報社訂購的顧客,分別占20%與10% ; 乙報社每年保留80%的顧客,而轉向曱報社與丙報社訂購的顧客,分別占10%與10% ; 丙報社每年保留80%的顧客,而轉向曱報社與乙報社訂購的顧客,分別占10%與10% ; 已知最後報社供應市場會趨於穩定,則達穩定狀態時,甲、乙、丙三家報社的佔有率分別為a、b、c則 下列哪些選項是正確的? (A) (B)a=(C)b= (D)c= (E)a+b+c =1
33.投擲兩個公正的六面骰,若出現點數和為n的機率為P(n),則下列敘述哪些正確? (A)P(1) = (B)P(5) = (C)P(7) = (D)P(12) = (E)P(3) = P(10)。
34. x+y+z =10的非負整數解個數為a,正整數解個數為b,則下列選項哪些正確? (A) a = (B) a = (C) a = (D) b =(E) b =。
36.為了瞭解某候選人的支持度,委託某民意調查公司,成功抽樣訪問m位20歲以上的選民,共有m位選民表示支持,並計算出此次的支持度為p、95%信心水準下的信賴區間為[0.544 ,0.736],則下列敘述哪些正確? (A) (B)我們可以利用的公式,得到n= 100 (C)m = 64 (D)所有選民的支持度有95%的機會落在區間[0.544 ,0.736] (E)根據此份民調,所有選民中,約有64%的選民支持此候選人
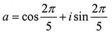
38.f(x) = x4+x3+x2+x+1且,則下列敘述哪些正確? (A) a5 = 1 (B)l + a =a2 (C)f(a) = 0 (D)f(x) = (x - a)(x -a2)(x-a3)(x - a4) (E) (1 - a)(1- a2 )(1- a3 )(1- a4) = 0 。
39.設A(6, 8)、B(4, 3)、0(0, 0),C點為之中點,則下列哪些正確? (A) (B) (C) (D)△ABC 的面積為 7 (E)B點到直線OA的距離為2 。