阿摩線上測驗
登入
首頁
>
微積分
> 99年 - 99年高等三級暨普通高三_核子工程#27590
99年 - 99年高等三級暨普通高三_核子工程#27590
科目:
微積分 |
年份:
99年 |
選擇題數:
0 |
申論題數:
5
試卷資訊
所屬科目:
微積分
選擇題 (0)
申論題 (5)
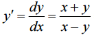
【已刪除】一、
homogeneous of degree zero。 求 general solution。 (20 分)
【已刪除】二、u = u(x, y) = x
3
− 3xy
2
, v = v(x, y) = 3x
2
y − y
3
(x, y) = (2,1), (u, v) = (2,11), x = x(u, v), y = y(u, v) is the inverse function at the point (u, v) = (2,11)
求
(u= 2, v= 11) ? (20 分)
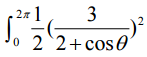
【已刪除】三、In polar coordinate r
is an ellipse。
求 A=
dθ = ? (20 分)
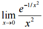
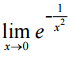
【已刪除】四、
= 0,求
=? (20 分)
【已刪除】五、
... =? (20 分)
相關試卷
114年 - 114 公務升官等考試_薦任_物理:微積分#133273
114年 · #133273
114年 - 114 一般警察特種考試_三等_消防警察人員:微積分#127792
114年 · #127792
113年 - 113 普通考試_天文:微積分#121499
113年 · #121499
113年 - 113 一般警察特種考試_三等_消防警察人員:微積分#120498
113年 · #120498
112年 - 112 公務升官等考試_薦任_物理:微積分#117315
112年 · #117315
112年 - 112 普通考試_天文、氣象:微積分#115417
112年 · #115417
112年 - 112 一般警察特種考試_三等_消防警察人員:微積分#114953
112年 · #114953
112年 - 112 身心障礙特種考試_四等_氣象:微積分#113932
112年 · #113932
111年 - 111 普通考試_氣象:微積分#109324
111年 · #109324
111年 - 111 一般警察特種考試_三等_消防警察人員:微積分#108604
111年 · #108604