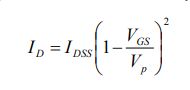
7 有一 N 通道空乏型 MOSFET 的 IDSS = 12 mA,夾止電壓 VGS(off) = - 4 V,當 VGS = - 3 V 時,ID之值應 為多少?
(A)1 mA
(B)0.75 mA
(C)0.5 mA
(D)0 mA
答案:登入後查看
統計: A(9), B(152), C(7), D(11), E(0) #2354757
統計: A(9), B(152), C(7), D(11), E(0) #2354757
