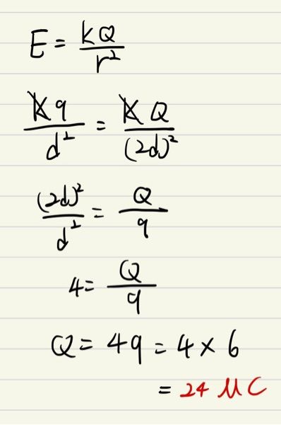
11 如圖二所示,兩個電量分別為q(q = 6.0 μC)和Q的點電荷,被放在一條直線上。線上的一點P距離q為d, 且距離 Q為 2d。如果在 P 點上量不到任何的電場,則點電荷 Q的值是多少?
(A)-8.0μC
(B) 16 μC
(C) 24.0 μC
(D)-24.0 μC

答案:登入後查看
統計: A(30), B(106), C(395), D(148), E(0) #594891
統計: A(30), B(106), C(395), D(148), E(0) #594891
詳解 (共 5 筆)
#1370411
選項應該修正
(A)-8μC
(B)16μC
(C)24μC
(D)-24μC
5
0
#4993025

4
0
#4606088
[純粹探討大Q正電荷為正為負? ]
一樣使用假設正電荷藍Q作為計算
在小q合力向左之情形
我們應找出大Q合力向右之狀況
才能使中間P點量不到電場( E = 0)
若大Q電場合力需向右,則大Q之電荷應與假設電荷藍Q相斥
故為正

4
0
#1369793
答案有問題。 正確答案是24.0 μC
4
0