題組內容
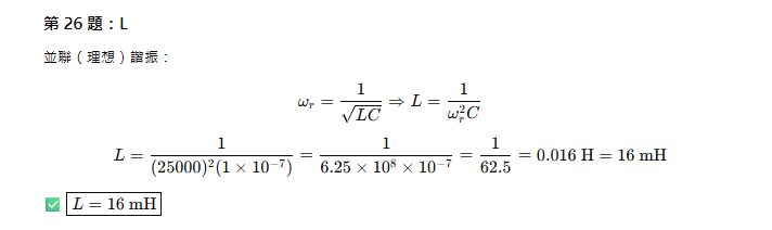
3.某一並聯 RLC 諧振電路,其諧振角頻率(ωr) = 25,000(rad/sec),電阻 R = 40 仟歐姆(kΩ),電容 C = 0.1 微法拉(μF),試求:(5 題,每題 3 分,共 15 分)
(1)電感 L (mH)
詳解 (共 2 筆)
yuC邀請碼196783
詳解 #6097519
已上榜,感謝阿摩(連三榜)
詳解 #7278935
