題組內容
4.如【圖 13】所示之電路,試求:
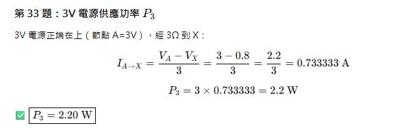
(3) 3V 電源的供應功率P3為多少瓦(W)?
詳解 (共 1 筆)
詳解

4.如【圖 13】所示之電路,試求:
