題組內容
二、某型飛機具有下列特徵:(10 分)
-最大升力係數CLmax= 1.9
-零升力攻角αL=0=-2 deg
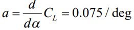
-升力係數對攻角斜率
-在高度 1000 m 時飛機失速速率(stall speed)Vs= 27 m / sec ※第一題至第三題附表 美國標準大氣空氣性質表-SI 單位
二、某型飛機具有下列特徵:(10 分)
-最大升力係數CLmax= 1.9
-零升力攻角αL=0=-2 deg
-升力係數對攻角斜率
-在高度 1000 m 時飛機失速速率(stall speed)Vs= 27 m / sec ※第一題至第三題附表 美國標準大氣空氣性質表-SI 單位