題組內容
三、一架飛機具有下列參數:(30 分)
-質量 m=5670 kg
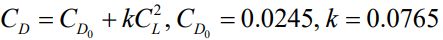
- 機 翼 面 積 S = 23.7 m2 , 其升阻係數曲 線 ( drag polar ) 為
其中CD為阻力係數,CL 為升力係數
-展弦比(aspect ratio) AR =5.07
-裝配兩具噴射發動機,每具可提供推力
其中密度比
※第一題至第三題附表 美國標準大氣空氣性質表-SI 單位
三、一架飛機具有下列參數:(30 分)
-質量 m=5670 kg
- 機 翼 面 積 S = 23.7 m2 , 其升阻係數曲 線 ( drag polar ) 為
其中CD為阻力係數,CL 為升力係數
-展弦比(aspect ratio) AR =5.07
-裝配兩具噴射發動機,每具可提供推力
其中密度比
※第一題至第三題附表 美國標準大氣空氣性質表-SI 單位