阿摩線上測驗 登入

申論題資訊

試卷:88年 - 88 公務升官等考試_薦任_統計:抽樣方法#108685
科目:抽樣方法
年份:88年
排序:6

題組內容

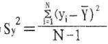
三、已知一母體有N個抽樣單位,每一個抽樣單位可同時度量數值變数X和Y,即第i個抽樣單位可度量62b5185ed1ed8.jpgi=1, ,N。因為度量X的成本比度量Y便宜很多且X和Y有相關性。考慮使用雙重抽様迴歸估計量62b5188859235.jpg來估計62b518964f62c.jpg,其中 B=62b518a98fad1.jpg,e為X和Y的相關係數,而62b518c2170f1.jpg。若第一次取樣只度量x得到平均值62b518d9ccb0f.jpg(樣本數為n'),再從此n'中再取n'' 抽様單位同時度量x和y,得到平均值62b5190df08d7.jpg62b519167fcfa.jpg

申論題內容

(二)為了求62b5194db777a.jpg的信賴區間,找出62b5195665fdd.jpg的不偏估計式。