阿摩線上測驗
登入
首頁
>
應用數學(包括微積分、微分方程與向量分析)
>
105年 - 105 高等考試_三級_天文、氣象:應用數學(包括微積分、微分方程與向量分析)#54583
> 申論題
題組內容
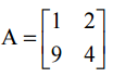
六、給定矩陣為:
⑶請將此矩陣對角化(diagonalization)。(10 分)
相關申論題
⑴寫出 Cartesian coordinate 中的 x, y, z 與φ ,θ 的對應關係。(5 分)
#202880
⑶求出 D 的梯度場,即∇D,並繪出此梯度場大致的空間分布。(6 分)
#202885
⑷說明該梯度場與 D = 常數所構成之等值線呈現何種關係。(3 分)
#202886
⑴求出其特徵值(eigenvalues)。(2 分)
#202889
五、令 ( 單 位 圓 ), 利 用 散 度 定 理 ( divergence theorem)算出∫∫B (3x2 +4y3 )dxdy 。(15 分)
#555981
四、計算雙重積分。(10 分)
#555980
三、求函數f (x ,y ,z ) =xyz 在橢圓面上的最大值及最小值。(25 分)
#555979
二、求下列微分方程初始值問題的解:(25 分)
#555978
(二)承上題,請說明在這力場下將粒子從點移至點所做的功與路徑無關(請詳述理由) 。(15 分)
#555977
(一)算出在這力場下將粒子從點 A= (0,0,0) 移至點 B= (1,1,1) 沿著路徑L= {(t ,t2 ,t3 ): ∈ [0,1]}所做的功。 (10 分)
#555976
相關試卷
114年 - 114 公務升官等考試_薦任_天文:應用數學(包括微積分、微分方程、向量分析)#133249
114年 · #133249
114年 - 114 高等考試_三級_天文:應用數學(包括微積分、微分方程與向量分析)#128455
114年 · #128455
113年 - 113 高等考試_三級_天文:應用數學(包括微積分、微分方程與向量分析)#121525
113年 · #121525
112年 - 112 高等考試_三級_天文、氣象:應用數學(包括微積分、微分方程與向量分析)#115744
112年 · #115744
111年 - 111 高等考試_二級_氣象:應用數學(包括微積分、微分方程、初步複變函數與向量分析)#111014
111年 · #111014
111年 - 111 高等考試_三級_天文、氣象:應用數學(包括微積分、微分方程與向量分析)#109450
111年 · #109450
110年 - 110 高等考試_三級_氣象:應用數學(包括微積分、微分方程與向量分析)#102743
110年 · #102743
109年 - 109 高等考試_三級_氣象:應用數學(包括微積分、微分方程與向量分析)#88983
109年 · #88983
108年 - 108 地方政府特種考試_三等_天文:應用數學(包括微積分、微分方程與向量分析)#81251
108年 · #81251
108年 - 108 公務升官等考試_薦任_天文:應用數學(包括微積分、微分方程、向量分析)#80516
108年 · #80516