阿摩線上測驗
登入
首頁
>
應用數學(包括微積分、微分方程與向量分析)
> 105年 - 105 高等考試_三級_天文、氣象:應用數學(包括微積分、微分方程與向量分析)#54583
105年 - 105 高等考試_三級_天文、氣象:應用數學(包括微積分、微分方程與向量分析)#54583
科目:
應用數學(包括微積分、微分方程與向量分析) |
年份:
105年 |
選擇題數:
0 |
申論題數:
17
試卷資訊
所屬科目:
應用數學(包括微積分、微分方程與向量分析)
選擇題 (0)
申論題 (17)
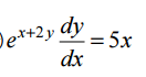
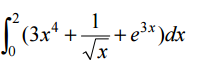
【已刪除】一、當正數α 與β 都極小時,請求出下列近似式。(10 分)
【已刪除】⑴
【已刪除】⑵
【已刪除】⑶
【已刪除】⑷
⑴寫出 Cartesian coordinate 中的 x, y, z 與φ ,θ 的對應關係。(5 分)
【已刪除】⑵求出此球面上法線向量
的表示式,以及在(0,R,0)這個點的法線向量。(10 分)
【已刪除】⑶用此設定驗證 Gauss theorem。(10 分) (注意:
,其中 a 為一正整數)
【已刪除】⑴在二維 x-y 平面上的每個象限都至少挑選一個點,繪出
大致的空間分布。(5 分)
【已刪除】⑵求出此向量場的輻合輻散場 D,即 D = ∇ ⋅
,並繪出 D 大致的空間分布。(6 分)
⑶求出 D 的梯度場,即∇D,並繪出此梯度場大致的空間分布。(6 分)
⑷說明該梯度場與 D = 常數所構成之等值線呈現何種關係。(3 分)
【已刪除】⑴
【已刪除】⑵
⑴求出其特徵值(eigenvalues)。(2 分)
【已刪除】⑵設其特徵向量(eigenvectors)為
,求V
1
之值。(3 分)
⑶請將此矩陣對角化(diagonalization)。(10 分)
相關試卷
114年 - 114 公務升官等考試_薦任_天文:應用數學(包括微積分、微分方程、向量分析)#133249
114年 · #133249
114年 - 114 高等考試_三級_天文:應用數學(包括微積分、微分方程與向量分析)#128455
114年 · #128455
113年 - 113 高等考試_三級_天文:應用數學(包括微積分、微分方程與向量分析)#121525
113年 · #121525
112年 - 112 高等考試_三級_天文、氣象:應用數學(包括微積分、微分方程與向量分析)#115744
112年 · #115744
111年 - 111 高等考試_二級_氣象:應用數學(包括微積分、微分方程、初步複變函數與向量分析)#111014
111年 · #111014
111年 - 111 高等考試_三級_天文、氣象:應用數學(包括微積分、微分方程與向量分析)#109450
111年 · #109450
110年 - 110 高等考試_三級_氣象:應用數學(包括微積分、微分方程與向量分析)#102743
110年 · #102743
109年 - 109 高等考試_三級_氣象:應用數學(包括微積分、微分方程與向量分析)#88983
109年 · #88983
108年 - 108 地方政府特種考試_三等_天文:應用數學(包括微積分、微分方程與向量分析)#81251
108年 · #81251
108年 - 108 公務升官等考試_薦任_天文:應用數學(包括微積分、微分方程、向量分析)#80516
108年 · #80516