阿摩線上測驗 登入

申論題資訊

試卷:108年 - 108 身心障礙特種考試_三等_統計:抽樣方法#75701
科目:抽樣方法
年份:108年
排序:0

題組內容

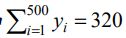
二、某里長欲了解里民對舉辦里民旅遊活動的支持程度,該里共有 23,000 人, 以簡單隨機抽樣法,針對該里民眾進行一份問卷調查,訪問了 500 個受訪 者。yi = 1,表示支持者,不支持則 yi = 0。依據調查回卷得知5cbebe1cded29.jpg

申論題內容

⑵若本次研究希望估計的誤差界限不要大於 0.02,請問上述的樣本數是否 足夠?若不足夠,應再加抽多少樣本?(10 分)