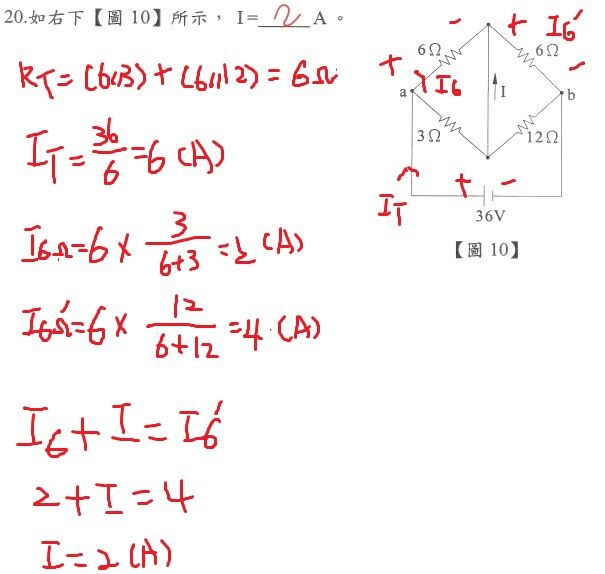
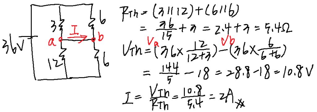
20.如下【圖10】所示,I=______A

詳解 (共 3 筆)
combcreepy
詳解 #6015490

Ian Chen
詳解 #5428561


解法僅供參考:)
王瑋毅
詳解 #5267912
5/3.14=1.592 A
(共 16 字,隱藏中)
前往觀看