5.如【圖 3】所示,可變電阻 RL 為_____歐姆(Ω)時,可得最大功率。
詳解 (共 2 筆)
詳解
解題步驟:
-
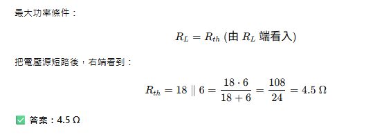
目標: 我們需要找出從 RL 兩端看進去左邊電路的戴維南等效電阻 Rth。根據最大功率轉移定理,當 RL = Rth 時,RL 能獲得最大功率。
-
計算戴維南等效電阻 (Rth):
- 移除負載: 先將 RL 從電路上斷開。
- 電源置零 (Deactivate sources): 將電路中所有的獨立電源設為零。
- 獨立電壓源:用短路 (short circuit / 一根導線) 取代。
- 獨立電流源:用開路 (open circuit) 取代 (這個電路裡沒有電流源)。
- 計算等效電阻: 從原本連接 RL 的兩個端點 (我們稱之為 A 和 B) 看進去,計算等效電阻。
-
應用到這個電路:
- 移除 RL。
- 將左邊的電壓源用一根導線短路。
- 現在我們來看看短路後的電路變成什麼樣子,並計算從右邊 A、B 兩點看進去的電阻:
- 電壓源短路後,最左邊上下的節點直接連通了 (可以看作都是接地點 B)。
- 這會導致 12Ω 電阻的兩端都連接到同一個點 (接地點 B),所以 12Ω 電阻被短路了,計算 Rth 時可以忽略它。
- 現在,從 A 點看回去:
- 一條路徑是往下直接通過 6Ω 電阻到達 B 點。
- 另一條路徑是往左通過 18Ω 電阻,到達原本 12Ω 電阻的上端點,但因為電壓源短路的關係,這個點也直接連到 B 點了。
- 這表示,從 A、B 兩端看進去,6Ω 電阻 和 18Ω 電阻是並聯的!
- 計算 Rth:
- Rth = 6Ω || 18Ω (|| 代表並聯)
- Rth = (6 * 18) / (6 + 18)
- Rth = 108 / 24
- (上下同除以 12) Rth = 9 / 2
- Rth = 4.5 Ω
-
根據最大功率轉移定則:
- 為了讓 RL 獲得最大功率,RL 的值必須等於 Rth。
- 所以,RL = 4.5 Ω。
詳解
