阿摩線上測驗 登入

申論題資訊

試卷:108年 - 108-1 證券投資分析人員 投資學#75120
科目:證券投資分析人員◆投資學
年份:108年
排序:0

題組內容

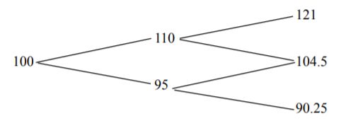
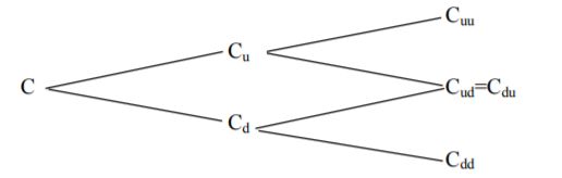
2. 若將一年分成兩個 6 個月的時段,在每半年的時段中,股票價格可以取兩個樹狀值(value tree); 也就是在每半年中股票價格可能上漲10%(亦即u=1.10)或是下跌5%(亦即d=0.95),如下表所示: 在此表中,最初以 100 元賣出的股票,可以在這一年中遵循著股票價格可能上漲 10%或下跌 5% 之可能路徑。 (1)股票價格樹狀值之可能路徑圖: 5c8f3c6ce7db0.jpg在上述的股票價格樹狀值之圖形中,可以透過兩種途徑得到中間值 104.50 元。也就是股票價格先 上漲 10%,然後再下跌 5%;或是股票價格先下跌 5%,然後再上漲 10%。因此,年底的選擇權(option) 價值有以下三種可供選擇: (2)選擇權價值樹狀值之可能路徑圖:5c8f3c883d1d6.jpg 已知無風險利率每 6 個月為 5%,針對上述股票之兩期樹狀值中,其買權(call option)的履約價格 (exercise price)為 110 元。此外,無論最終股價如何變動,投資組合在選擇權到期時的價值為 209 元,如下表所示:5c8f3ca29ed49.jpg試問:

申論題內容

B. 選擇權價值之價差(spread=5c8f3cc3e9c06.jpg)為多少? (5 分)

詳解 (共 1 筆)

詳解 提供者:徐詩婷
111