阿摩線上測驗
登入
首頁
>
應用數學(包括微積分、微分方程與向量分析)
> 100年 - 100 公務升官等考試_薦任_天文:應用數學(包括微積分、微分方程與向量分析)#26962
100年 - 100 公務升官等考試_薦任_天文:應用數學(包括微積分、微分方程與向量分析)#26962
科目:
應用數學(包括微積分、微分方程與向量分析) |
年份:
100年 |
選擇題數:
0 |
申論題數:
10
試卷資訊
所屬科目:
應用數學(包括微積分、微分方程與向量分析)
選擇題 (0)
申論題 (10)
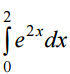
【已刪除】⑴
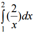
【已刪除】⑵
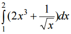
【已刪除】⑶
【已刪除】⑷
【已刪除】⑸
二、利用極座標(polar coordinates)求出半徑為 a 的圓的面積。(20 分)
⑴求出 f(x, y)的極小值,以及出現此極小值時的 x, y 值。
⑵在 x = 2y 的限制下,求出 f(x, y)的極小值,以及出現此極小值時的 x, y 值。
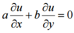
【已刪除】四、
,請用分離變數法求解 u,其中 a, b 為兩個常數。(20 分)
【已刪除】五、在一個二維的平面上,令向量場
,其中的
與
分別為沿 x 與 y 軸方向的單位向量。現在將
沿著一個圓心在原點,半徑為 3 的圓的邊界, 以逆時針方向積分一圈,結果為多少?(20 分)
相關試卷
114年 - 114 公務升官等考試_薦任_天文:應用數學(包括微積分、微分方程、向量分析)#133249
114年 · #133249
114年 - 114 高等考試_三級_天文:應用數學(包括微積分、微分方程與向量分析)#128455
114年 · #128455
113年 - 113 高等考試_三級_天文:應用數學(包括微積分、微分方程與向量分析)#121525
113年 · #121525
112年 - 112 高等考試_三級_天文、氣象:應用數學(包括微積分、微分方程與向量分析)#115744
112年 · #115744
111年 - 111 高等考試_二級_氣象:應用數學(包括微積分、微分方程、初步複變函數與向量分析)#111014
111年 · #111014
111年 - 111 高等考試_三級_天文、氣象:應用數學(包括微積分、微分方程與向量分析)#109450
111年 · #109450
110年 - 110 高等考試_三級_氣象:應用數學(包括微積分、微分方程與向量分析)#102743
110年 · #102743
109年 - 109 高等考試_三級_氣象:應用數學(包括微積分、微分方程與向量分析)#88983
109年 · #88983
108年 - 108 地方政府特種考試_三等_天文:應用數學(包括微積分、微分方程與向量分析)#81251
108年 · #81251
108年 - 108 公務升官等考試_薦任_天文:應用數學(包括微積分、微分方程、向量分析)#80516
108年 · #80516