所屬科目:高中(學測,指考)◆數學
3.設,n 為正整數,且知an皆為正。令 ,則數列b1,b2,b3,L為(A) 公差為正的等差數列 (B) 公差為負的等差數列 (C) 公比為正的等比數列 (D) 公比為負的等比數列 (E) 既非等差亦非等比數列
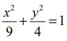
4.坐標平面上滿足方程式的點(x,y)所構成的圖形為(A) 只有原點 (B) 橢圓及原點 (C) 兩條相異直線 (D) 橢圓及雙曲線 (E) 雙曲線及原點