阿摩線上測驗
登入
首頁
>
微積分
> 101年 - 101年高等三級暨普通考高考三級_氣象#26565
101年 - 101年高等三級暨普通考高考三級_氣象#26565
科目:
微積分 |
年份:
101年 |
選擇題數:
0 |
申論題數:
13
試卷資訊
所屬科目:
微積分
選擇題 (0)
申論題 (13)
⑴傅立葉級數(Fourier series) 和傅立葉積分(Fourier integral)
⑵線性微分方程式(linear differential equation)和非線性微分方程式(nonlinear differential equation)
⑶初始值問題(initial value problem)和邊界值問題(boundary value problem)
【已刪除】二、請解下列之初始值問題:(15 分)
【已刪除】三、請解出下列週期函數(periodic function)的傅立葉級數。(15 分)
【已刪除】四、請將下列方陣表示成對稱矩陣(symmetric matrix)和斜對稱矩陣(skew-symmetric matrix)的線性組合,並解出其特徵值與特徵向量。(15 分)
⑴∇f
⑵ ∇⋅ w
⑶ ∇× v
⑷ ∇
2
(
xzf
)
⑸ (∇×
w
)
⋅ v
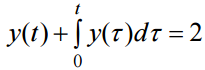
【已刪除】六、請利用拉普拉斯轉換解下列之積分方程式(integral equation)。(15 分)
【已刪除】七、請解下列問題:(15 分)
相關試卷
114年 - 114 公務升官等考試_薦任_物理:微積分#133273
114年 · #133273
114年 - 114 一般警察特種考試_三等_消防警察人員:微積分#127792
114年 · #127792
113年 - 113 普通考試_天文:微積分#121499
113年 · #121499
113年 - 113 一般警察特種考試_三等_消防警察人員:微積分#120498
113年 · #120498
112年 - 112 公務升官等考試_薦任_物理:微積分#117315
112年 · #117315
112年 - 112 普通考試_天文、氣象:微積分#115417
112年 · #115417
112年 - 112 一般警察特種考試_三等_消防警察人員:微積分#114953
112年 · #114953
112年 - 112 身心障礙特種考試_四等_氣象:微積分#113932
112年 · #113932
111年 - 111 普通考試_氣象:微積分#109324
111年 · #109324
111年 - 111 一般警察特種考試_三等_消防警察人員:微積分#108604
111年 · #108604