阿摩線上測驗
登入
首頁
>
微積分
> 102年 - 102年高等三級暨普通考普通_氣象#25567
102年 - 102年高等三級暨普通考普通_氣象#25567
科目:
微積分 |
年份:
102年 |
選擇題數:
0 |
申論題數:
8
試卷資訊
所屬科目:
微積分
選擇題 (0)
申論題 (8)
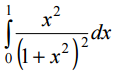
【已刪除】⑴設k ≥ 0,求
。(10 分)
【已刪除】⑵求級數
[tan
-1
(n+1)- tan
-1
n ] 之和。(10 分)
【已刪除】 ⑴
(10 分)
【已刪除】⑵
(10 分)
【已刪除】⑴ 設 (x
2
+y
2
) x y ,求
。(10 分)
【已刪除】⑵ 設 f(x)=
te
-1
dt ,求 f
(n)
(0)。(15 分)
四、令 C 為拋物面 z = x
2
+ y
2
與橢圓面 4 x
2
+ y
2
+ z
2
=9 兩曲面之交線。求此曲線 C 在 點(-1, 1, 2)的切線參數方程式。(20 分)
五、一個圓形的雨滴落下時,遇到乾燥的大氣而蒸發,蒸發的速率與表面積成正比。求 證雨滴的半徑以等速率遞減。(15 分)
相關試卷
114年 - 114 公務升官等考試_薦任_物理:微積分#133273
114年 · #133273
114年 - 114 一般警察特種考試_三等_消防警察人員:微積分#127792
114年 · #127792
113年 - 113 普通考試_天文:微積分#121499
113年 · #121499
113年 - 113 一般警察特種考試_三等_消防警察人員:微積分#120498
113年 · #120498
112年 - 112 公務升官等考試_薦任_物理:微積分#117315
112年 · #117315
112年 - 112 普通考試_天文、氣象:微積分#115417
112年 · #115417
112年 - 112 一般警察特種考試_三等_消防警察人員:微積分#114953
112年 · #114953
112年 - 112 身心障礙特種考試_四等_氣象:微積分#113932
112年 · #113932
111年 - 111 普通考試_氣象:微積分#109324
111年 · #109324
111年 - 111 一般警察特種考試_三等_消防警察人員:微積分#108604
111年 · #108604