所屬科目:教甄◆數學專業
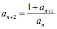
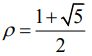
1. 考慮黃金分割比。定義等比數列,其中 n 為正整數。則最接近a12的正整數是多少? (A) 100 (B) 121 (C) 144 (D) 169
2. 一拋物線有兩點 A、B,且線段通過該拋物線的焦點 F。若,則 F 到此拋物線的準線的距離為何? (A) 3 (B) 6 (C) 8 (D) 9
4. 若,則sin4θ+ cos4θ 之值為何? (A) (B) (C) (D)
6. 黃老師騎機車到火車站接甲、乙兩位客人來學校參觀。車站到學校的距離是 6 公里,機車的時速為 45 公里,而甲、 乙兩人步行的時速都是 5 公里。三人在車站會合後,黃老師先載甲朝學校方向行進一段距離,而讓乙先一人獨自走 往學校。然後在途中某處,黃老師讓甲下車步行朝學校前進,並立即回頭去載乙;遇到乙後,用機車直接載乙回到 學校,發現甲也同時走到學校門口。請問三人由車站回到學校,花了多少小時? (A) (B) (C) (D)
8. 已知1105= 5✕13✕17。將 1105 寫成兩個正整數的平方和,共有幾種不同的方法?(註:22+12 與12+ 22視為相同) (A) 1 (B) 2 (C) 4 (D) 8
10. 設二次方程式x2-2x-6=0的兩根為α、β,則下列哪一個方程式的兩根是? (A)6x2-10x-25=0 (B)6x2+21x-16=0 (C)3x2-19x-21=0 (D)3x2-8x-23=0
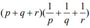
11. 方程式13x+23y=1的整數解(x,y) 中,|x|+|y|的最小可能值為多少? (A) 11 (B) 25 (C) 47 (D)61
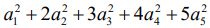
13. 設 a1 , a2 , a3 , a4 , a5 為五個非負實數,且總和為 1。請問 的最小值為多少? (A) (B) (C) (D)
14. 數列 a1 , a2 , a3 ,…依下述定義給出:,而n≧1。給定a1 = 2及a2 = 5,則 a2002之值為多少? (A) (B) (C) 2 (D) 5
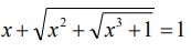
15. 方程式的實數解有多少個? (A) 0 (B) 1 (C) 2 (D) 3
19. 已知坐標平面上兩直線2x + y = 2與x + my =1互相垂直。則點(m , m)到直線x + y +3 = 0的距離為何?(A) (B) (C) (D)
20. △ABC中,D 為中點, ,則△ABC 必為何種三角形? (A)等腰三角形 (B)直角三角形 (C)銳角三角形 (D)鈍角三角形
21. 以△ABC的三中線為邊所成的三角形,其面積是△ABC面積的幾倍? (A) (B) (C) (D)
22. 已知銳角三角形△ABC三邊長互不相等,D 是上一點,滿足∠BAD + ∠C = 90°,那麼必定通過△ABC的 (A)外心 (B)內心 (C)重心 (D)垂心
24. △ABC中,三邊長為 3、4、6,所對應的三條高長度分別為 p、q、r。則將的值化為最簡分數後,分母與分子的和為? (A)37 (B)39 (C)41 (D)43
26. 某立體由一些單位方塊堆砌而成。若此立體的前視、左視、上視圖如下: 則此立體的體積為? (A)8 (B)9 (C)10 (D)11
27. 一行星繞其太陽的軌道是一個橢圓,且太陽為一焦點。橢圓長軸的兩端點中,距離太陽近的稱為近日點,遠的稱為 遠日點。已知近日點與遠日點與太陽的距離比為 1:25, 則橢圓軌道的長軸與短軸的長度比為? (A) (B) (C) (D)
28. 數列an定義為a1 =1,a2 = 3,且n ≥ 3時,an= 3an-1 - 2an-2 。則比a8小且與 a8互質的自然數有幾個? (A)125 (B)126 (C)127 (D)128
29. 有一橢圓,其兩焦點為 A 與 B,而P為橢圓上的點。已知ABP 為直角三角形,且,請問此橢圓的短軸長是多少? (A)4 (B)(C)(D)16
33. 某圓內接六邊形 ABCDEF,其中,請問此六邊形的面積為何? (A)13 (B)(C)(D)
36. 下列何者錯誤? (A) log a✕log b= log ( a + b ) (B) sin ( a + b )=sin a cos b + sin b cos a (C) logabc = logcba (D) log10 100=2
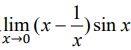
37. 極限 的值為何? (A)−1 (B)0 (C)1 (D)此極限不存在
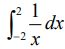
38. 請問的值為何? (A)0 (B)∞ (C)−∞ (D)不存在
40. 旅遊大亨是一款類似大富翁的手遊,每次會擲兩顆骰子,依總點數前進。假設每顆骰子擲到每一個面的機率相同, 而且兩顆骰子擲到什麼點數是彼此獨立的。大衛發現再走 8 步就可以走到自己的地,因此他拿出了「單雙道具」使 自己擲出的點數總和一定是偶數,請問大衛擲出 8 點的機率為何? (A) (B) (C) (D)