所屬科目:教甄◆數學專業
1. 計算之值為_____(以指數表示)。
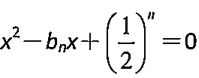
2. 對於無窮數列〈an〉與〈bn〉,若〈an〉的相鄰兩項an 與 an+1 是方程式之兩根,對所有自然數n皆成立,且a1=1,則= _____。
3. 求的值為_____。
6. 設數列<an>滿足 an=an-1-an-2,其中n≧3。已知a42=3,a28=5,則a14=_____。
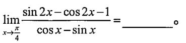
7.
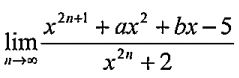
8. 已知 a 與 b 為實數,n 為正整數,設函數f(x) =,若對所有實數 x,f(x) 為連續函數,則有序對(a,b)=_____。
12.所圍區域的面積為_____。
13. 如下圖,在一水平地面上有一拋物線形的柱子,其頂點與地面相切,柱子高為 8 公尺,最頂部的寬為 4 公尺,今在地面上有一顆直徑為 2 公尺的球滾此柱子並且撞擊到柱子,則撞擊點距離地面的高度為_____ 公尺。
14.在複數平面上,Arg (z)表z之主輻角,i 表示虚數單位,若,則 |z| 之值為_____。
15.有一底面半徑為 3 公分,且密度不均匀的圓柱體,傾斜漂浮在靜止的水面上,水面剛好通過底面直徑且與底面成60°角,如下圖所示。試求此圓柱體在水面下的體積為_____立方公分。
16.如下圖,等腰直角△ABC中,∠A = 90°,D為的中點,四邊形 DEFG 為正方形,且F在邊上,若, = 4,則正方形DEFG的面積為_____。
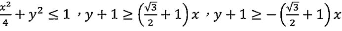
17. 坐標平面上,由所圍成之圖形面積為_____。
18. 設, x>0,求函數f(x)之最小值為_____。
19.如下圖所示,在一個缺角棋盤的各水平線和鉛垂線的交會點上,分別標示數字,其中的x1,x2,...,x9等為未知數字。今假設每一個xi恰為其相鄰的四個數字的平均數,例如,試求x5 之值為_____。
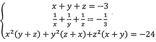
20. 實數x,y,z滿足方程式,求x2+y2+z2=_____。
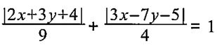
21. 已知0<a<1,0<b<1,0<c<1,0<d<1,且 a+b+c+d=1,求之最小值。