所屬科目:初等/五等/佐級◆電子學大意
2 某增強型 NMOS 場效電晶體的,今若其源極(Source)電壓 0.5 V, 閘極(Gate)電壓 2.5 V,汲極(Drain)電壓 1.0 V,則此電晶體工作在那一區? (A)飽和區(Saturation Region) (B)截止區(Cutoff Region) (C)三極體區(Triode Region) (D)主動區(Active Region)
3 有一積體電路晶片的腳位布局圖(pin layout)如下所示,請問第 10 隻腳為下列何者? (A) OUT1 (B) IN2B (C) IN3A (D) IN4B
4 如圖為一齊納二極體電路,此齊納二極體流過的電流必須大於 0.2 mA 才能維持在崩潰的狀態。假若 齊納二極體崩潰時的內阻可以忽略,問負載電阻最少應為多少?(A) 0.5 kΩ (B) 1.1 kΩ (C) 1.5 kΩ (D) 34 kΩ
5 如圖所示之理想放大器電路,求 。 (A)0 (B)-5 (C)-6 (D)5
6 如圖所示為雙極性電晶體 Q 接成共射極組態,已知電晶體之電流增益為 β 且集-基極接面的逆向飽和 電流為 ,若 = 0 且 > 0 時,則電晶體 Q 的 = ? (A) (B) (C) (D)
7 設圖中所示電晶體的射極電壓為 1 V,又設∣∣= 0.7 V,則其 α 為? (A) 1.52 (B) 0.98 (C) 0.54 (D) 0.11
8 圖為理想運算放大器電路,其電壓增益為多少? (A)8 (B) 11 (C) 15 (D) 18
10 一個 NMOS 電晶體,其臨界電壓 = 0.5 V。當輸入端電壓 = 1.5 V 時之汲極飽和電流 = 1 mA, 則當 增為 2.5 V 時其汲極飽和電流 約為多大? (A) 1 mA (B) 2 mA (C) 3 mA (D) 4 mA
12 有一放大器電路如圖所示,放大器 U1 為理想運算放大器,其輸出電壓範圍侷限在+10 V 與-10 V 之間, 二極體 D1 順向電壓 = 0.7 V。電阻 R1 =1 kΩ,V1 為交流電源,若欲使節點 A 為正時二極體 D1 導通,為負時二極體 D1 不導通,試問放大器 U1 的端點 1 應為正輸入或負輸入? (A)正輸入 (B)負輸入 (C)正輸入或負輸入均可 (D)無法判斷
13 變壓器型半波整流電路及中間抽頭變壓器型全波整流電路,當輸入不同弦波信號時,測得兩種電路中 二極體所承受之峰值逆向電壓(PIV)剛好均相同時,設半波及全波之輸出信號峰值電壓為及 之比值為何? (A) 0.5 (B)1 (C)2 (D)4
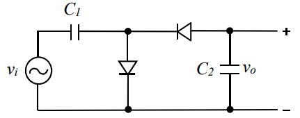
14 圖示截波電路(D 為理想二極體)及其輸入信號 vi(t) = 10sin(ωt)伏特,已知輸出信號 vo 的峰對峰電壓 值為 4 伏特,則偏壓電源 應該是多少伏特? (A)6V (B)4V (C)-4 V (D)-6 V
16 圖示為部分的電晶體共射極放大電路,與電容器 C 有關功能的敘述,下列何者正確? (A)用於隔離直流信號但耦接交流信號 (B)用於同時耦接直流、交流信號 (C)用於耦接直流信號但隔離交流信號 (D)用於同時隔離直流、交流信號
17 圖中之電路若二極體之導通電壓與導通電阻皆為 0,電容 C1 與 C2 之初始電壓皆為 0 V,vi(t) = 10sin(10t)伏特, 於穩態時,下列敘述何者正確? (A) vo(t)=5sin(10t)伏特 (B) vo(t)=10sin(10t)伏特 (C) vo(t)=20sin(10t)伏特 (D) vo(t)=20 伏特
18 如圖所示之電路,假設二極體皆為理想,,則其輸出電壓 之波形最有可能為下列何者? (A) (B) (C) (D)
19 如圖所示二極體電路,假設二極體導通電壓 =0.7 V。已知電壓 =12sin(120πt) V、R=2 kΩ,試求每一顆二極體峰值反向電壓約為多少? (A) 12 V (B) 11.3 V (C) 10.6 V (D) 9.2 V
20 如圖所示電路,U1 為理想運算放大器。假設二極體導通電壓 =0.7 V,已知電阻 R1=1 kΩ、R2=2 kΩ、 R3=1 kΩ、= -5 V。當 = 3 V 時,對於節點 B 的電壓 ,下列敘述何者正確? (A) (B) (C) (D)
21 如圖所示二極體電路,假設二極體導通電壓 =0.7 V。已知電壓 =12sin(120πt) V,在穩態時輸出電壓 的電壓值約為多少?(A)-22.6 V (B)-10.6 V (C) 10.6 V (D) 22.6 V
22 如圖所示之電路,假設二極體為理想,試求輸出電壓之最大負值為何? (A)-2 V (B)-4 V (C)-6 V (D)-8 V
23 若只需考慮負載電阻與負載電容,如圖所示之放大器的頻寬約為何? (A) 1.6 MHz (B) 16 MHz (C) 160 MHz (D) 1600 MHz
26 圖中電晶體 M1 之 (W/L)= 1 mA/V2 ,臨界電壓 = 0.8 V,若忽略通道調變效應, =1 V, =? (A) 4.8 V (B) 4.6 V (C)3V (D) 1.8 V
27 如圖所示為一共射極放大電路及其電晶體的部分輸出特性,基-射極接面(BEJ)於導通時因壓降變化 不大而視為常數 = 0.7 V, = 40 kΩ 時,欲得到 6 V 的輸出直流工作點,約多少? (A) 1.5 kΩ (B) 2 kΩ (C) 2.4 kΩ (D) 3.2 kΩ
28 圖中所示的增強型 MOSFET 具有特性參數包括:臨界電壓 = 1 V、(W/L)= 1 mA/V2,如果 MOSFET 的輸入直流電壓 需被設計為 3 V 時,則圖中標示的電阻 R 值應約多少? (A) 0.5 kΩ (B) 1 kΩ (C) 2 kΩ (D) 3 kΩ
29 電晶體放大電路藉由如圖所示的分壓偏壓電路,使得該電晶體的輸出直流電壓工作在VECQ=6 V,射-基極的導通定電壓固定為 0.8 V,求電阻 R 約為多少?(A) 0.8 kΩ (B) 1.2 kΩ (C) 1.6 kΩ (D) 2.4 kΩ
30 如圖電路若電晶體操作於飽和區,下列何種方式可使電晶體進入主動區? (A)減低 (B)提高 (C)增加 (D)減低
31 如圖電路,設電晶體之 β = 100, =50 kΩ,I=1 mA, =3 V。若要使電晶體維持工作在 主動模式(Active-mode)而不進入飽和模式(Saturation-mode) ,則 可容許之最大值約為: (A) 0.5 kΩ (B) 2 kΩ (C) 4 kΩ (D) 5.5 kΩ
33 在某個瞬間測得流過如圖所示波形產生電路中電容器 C = 0.2 μF 的電流 i(t)=2 mA,決定輸出 vO 的頻 率約為多少 Hz?其中兩個理想放大器的直流電源電壓值均為±10 伏特。 (A) 500 Hz (B) 1 kHz (C) 10 kHz (D) 50 kHz
35 圖示為理想運算放大器組成的電路,運算放大器的輸出飽和電壓為±10 V,R1 = 10 kΩ、R2 = 30 kΩ, 輸出電壓 原為+10 V,輸入電壓 為下列何電位時,輸出 將為-10 V? (A)-3 V (B)-2 V (C)2V (D)4V
36 如圖電路,已知輸出 vo 的飽和電壓在±10 V,其 R1 = 100 kΩ,R2 = R = 1 MΩ 且 C = 0.01 μF;若在電 容器 C 旁邊並接一顆二極體,其順向電壓為 0.7 V,則輸出電壓 vo 會在什麼狀態? (A)保持在±10 V 變化 (B)保持在-10 V (C)保持在+10 V (D)保持在 0 V
38 如圖電路,若輸入 vi(t)為三角波電壓,則輸出 vo(t)是什麼波形? (A)正弦波 (B)三角波 (C)脈波 (D)方波
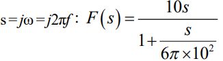
39 有一放大器電路的轉移函數(Transfer function)F(s) = ,其中,在製作|F(s)|的波德曲線圖(Bode plot)時,欲估計在頻率 f = 3 kHz 時的線段斜率,下列何者正確? (A)大於+10 dB/decade (B)落在-10 dB/decade 至+10 dB/decade 之間 (C)落在-30 dB/decade 至-10 dB/decade 之間 (D)小於-30 dB/decade
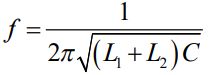
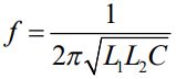
40 如圖由理想運算放大器所組成之哈特萊振盪器,其振盪頻率為何?(A) (B) (C) (D)