阿摩線上測驗
登入
首頁
>
微積分
> 94年 - 094年高等三級暨普通第二試地震測報(普考)#38257
94年 - 094年高等三級暨普通第二試地震測報(普考)#38257
科目:
微積分 |
年份:
94年 |
選擇題數:
0 |
申論題數:
9
試卷資訊
所屬科目:
微積分
選擇題 (0)
申論題 (9)
【已刪除】⑴
(10 分)
【已刪除】⑵
(10 分)
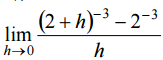
【已刪除】二、
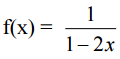
,求 f
(k )
(x),即 f 之 k 階導數(k 為正整數)。(10 分)
【已刪除】⑴
(10 分)
【已刪除】⑵
(提示:先交換積分順序)(10 分)
四、假設我們要造容量為一公升(1000 cm
3
)之圓柱型罐頭,半徑為r,高度為h。要選 擇怎樣的r及h才能使得製造罐頭所需的材料最少?(15 分)
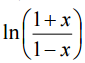
五、⑴ ln(1+x)之 Maclaurin series(即對 0 展開之 Taylor series)為何?ln 代表自然對數。 (10 分)
【已刪除】⑵找出
的 Maclaurin series(可以利用⑴的結果),並利用此 Maclaurin series 將 ln2 表示成無窮級數的和。(10 分)
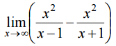
【已刪除】六、假設 z =
,x = cosθ,y = sinθ,利用 chain rule 求出當θ=π/2 時 dz/dθ的 值。(15 分)
相關試卷
114年 - 114 公務升官等考試_薦任_物理:微積分#133273
114年 · #133273
114年 - 114 一般警察特種考試_三等_消防警察人員:微積分#127792
114年 · #127792
113年 - 113 普通考試_天文:微積分#121499
113年 · #121499
113年 - 113 一般警察特種考試_三等_消防警察人員:微積分#120498
113年 · #120498
112年 - 112 公務升官等考試_薦任_物理:微積分#117315
112年 · #117315
112年 - 112 普通考試_天文、氣象:微積分#115417
112年 · #115417
112年 - 112 一般警察特種考試_三等_消防警察人員:微積分#114953
112年 · #114953
112年 - 112 身心障礙特種考試_四等_氣象:微積分#113932
112年 · #113932
111年 - 111 普通考試_氣象:微積分#109324
111年 · #109324
111年 - 111 一般警察特種考試_三等_消防警察人員:微積分#108604
111年 · #108604