阿摩線上測驗
登入
首頁
>
微積分
> 94年 - 094年高等三級暨普通第二試氣象(選試大氣測計學(包括傳統觀測與遙測)、大氣動力學、大氣物理學(包括大氣輻射與雲物理))(高考)#38615
94年 - 094年高等三級暨普通第二試氣象(選試大氣測計學(包括傳統觀測與遙測)、大氣動力學、大氣物理學(包括大氣輻射與雲物理))(高考)#38615
科目:
微積分 |
年份:
94年 |
選擇題數:
0 |
申論題數:
8
試卷資訊
所屬科目:
微積分
選擇題 (0)
申論題 (8)
,其中 a > 0為一常數。求C的參數方程式。(10 分)
【已刪除】二、承第一題,證明 C 的長度=
(10 分)
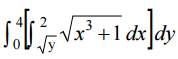
【已刪除】三、求疊積分
(15 分)
四、設 f , g 為二階可微分的純量值函數。證明
div( ∇(fg ) ) = f div(∇g) + g div(∇f ) + 2(∇f )⋅(∇g)。(15 分)
五、敘述 Stokes 定理的內容。(5 分)
【已刪除】六、利用 Stokes 定理,求線積分
, 其中C 表示由點(1,0,0)至點(0,2,0)至點(0,0,3)再回到點 (1,0,0)所成有向的三角形曲線。 (15 分)
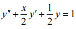
【已刪除】七、解
,其中 y(0) = 1, y ′(0) = 0。 (15 分)
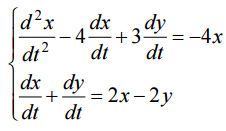
【已刪除】八、解
(15 分)
相關試卷
114年 - 114 公務升官等考試_薦任_物理:微積分#133273
114年 · #133273
114年 - 114 一般警察特種考試_三等_消防警察人員:微積分#127792
114年 · #127792
113年 - 113 普通考試_天文:微積分#121499
113年 · #121499
113年 - 113 一般警察特種考試_三等_消防警察人員:微積分#120498
113年 · #120498
112年 - 112 公務升官等考試_薦任_物理:微積分#117315
112年 · #117315
112年 - 112 普通考試_天文、氣象:微積分#115417
112年 · #115417
112年 - 112 一般警察特種考試_三等_消防警察人員:微積分#114953
112年 · #114953
112年 - 112 身心障礙特種考試_四等_氣象:微積分#113932
112年 · #113932
111年 - 111 普通考試_氣象:微積分#109324
111年 · #109324
111年 - 111 一般警察特種考試_三等_消防警察人員:微積分#108604
111年 · #108604