阿摩線上測驗
登入
首頁
>
微積分
> 94年 - 94 公務、關務升官等考試_薦任_地震測報:微積分#39136
94年 - 94 公務、關務升官等考試_薦任_地震測報:微積分#39136
科目:
微積分 |
年份:
94年 |
選擇題數:
0 |
申論題數:
10
試卷資訊
所屬科目:
微積分
選擇題 (0)
申論題 (10)
一、設 f (x) = x
x
,試求 f ́(x)。(10 分)
【已刪除】二、試求極限
。(10 分)
三、試討論函數 f (x) = x
3
-3x
2
-9x+1 ( x ∈ R)之圖形的遞增、遞減與凹向。(10 分)
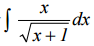
【已刪除】四、試求不定積分
。(10 分)
【已刪除】五、試求不定積分
。(10 分)
【已刪除】六、若a > 0且
,則此相同的積分值為何?(10 分)
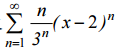
【已刪除】七、試求級數
之和。(10 分)
【已刪除】八、試討論冪級數
的收斂區間 ( x ∈ R)。(10 分)
九、試求曲面 x
3
− y
2
+ xz =1 過點(2, 3, 1)的切平面方程式。(10 分)
【已刪除】十、設R是由直線y = x與拋物線y = x
2
所圍成的區域,試求二重積分
之值。(10 分)
相關試卷
114年 - 114 公務升官等考試_薦任_物理:微積分#133273
114年 · #133273
114年 - 114 一般警察特種考試_三等_消防警察人員:微積分#127792
114年 · #127792
113年 - 113 普通考試_天文:微積分#121499
113年 · #121499
113年 - 113 一般警察特種考試_三等_消防警察人員:微積分#120498
113年 · #120498
112年 - 112 公務升官等考試_薦任_物理:微積分#117315
112年 · #117315
112年 - 112 普通考試_天文、氣象:微積分#115417
112年 · #115417
112年 - 112 一般警察特種考試_三等_消防警察人員:微積分#114953
112年 · #114953
112年 - 112 身心障礙特種考試_四等_氣象:微積分#113932
112年 · #113932
111年 - 111 普通考試_氣象:微積分#109324
111年 · #109324
111年 - 111 一般警察特種考試_三等_消防警察人員:微積分#108604
111年 · #108604