阿摩線上測驗
登入
首頁
>
初等/五等/佐級◆電子學大意
> 96年 - 96 原住民族特種考試_五等_電子工程:電子學大意#24663
96年 - 96 原住民族特種考試_五等_電子工程:電子學大意#24663
科目:
初等/五等/佐級◆電子學大意 |
年份:
96年 |
選擇題數:
40 |
申論題數:
0
試卷資訊
所屬科目:
初等/五等/佐級◆電子學大意
選擇題 (40)
1 若圖中兩個二極體特性完全相同,則流過電路之電流為:
(A) I = I
S
(B)I = I
S
e
V/ η VT
(C)I = I
S
[ e
V/ 2η VT
-1] (D) I = I
S
[ e
V/ η VT
-1]
2 之 rπ值約為: (A) 0.4 KΩ (B) 0.5 KΩ (C) 0.6 KΩ (D) 0.7 KΩ
3 承上題,BJT 交流電路,其 R
o
值約為: (A) 65 Ω (B) 75 Ω (C) 85 Ω (D) 95 Ω
4 共閘極放大器的小信號等效電路如下圖所示,其輸入阻抗(R
i
)和輸出阻抗(R
o
)各為何?
5 下列有關場效應電晶體的敘述,何者正確? (A)當閘極電壓超過臨限電壓(threshold voltage),在 p 通道增強型(enhancement type)場效應電晶 體中會產生一電洞反轉層(inversion layer) (B) p 通道接面場效應電晶體(JFET),閘極是 p 型材料所製成 (C)要使 p 通道增強型場效應電晶體導通,所加在閘極的電壓必需是正的而且要大於臨限電壓 (D)當 V
GS
=0 時,p 通道接面場效應電晶體是不導通的
6 考慮二極體(diode)導通時的電壓降,今於輸入端施加信號 v
i
=V
m
‧sin(ωt),其波形如圖 1 所示。 圖 2 電路圖的輸出電壓 vo在穩態(steady state)時最為接近的波形為:
7 室溫時,有一矽塊含有施體濃度 N
D
=2×10
15
/cm
3
,受體濃度 NA=3×10
15
/cm
3
,若本質濃度為 n
i
=1.5×10
10
/cm
3
,則自由電子濃度約為: (A) 1×10
15
/cm
3
(B) 3×10
10
/cm3 (C) 2×10
5
/cm
3
(D)4×10
8
/cm
3
8 V
o
的波形為: (A)三角波 (B)鋸齒波 (C)正弦波 (D)方波
9 承上題,V-電壓波形若由示波器量出,則應近似何種波形? (A)正弦波 (B)三角波 (C)方波 (D)鋸齒波
10 雙極性接面電晶體(BJT)放大器的下列組態中,何者的輸入電阻較大? (A) CE 組態 (B) CB 組態 (C) CC 組態 (D)疊接(cascode)組態
11 若一雙極性接面電晶體工作於作用區(active region),其 α=0.99,則其 β 應為: (A) 99 (B) 49 (C) 39 (D) 29
12 下列何種濾波器之增益與頻率的關係如下圖所示?
(A)高通 (B)低通 (C)帶通 (D)全通
13 如圖所示是一個雙極性接面電晶體(BJT)電路,假設電晶體的 V
BE
=0.7 V、β=50,則 E 極最接近 的電壓值為:
(A)-2 V (B)-1 V (C) 1.5 V (D) 4 V
14 當一雙極性接面電晶體(BJT)工作於作用模式(active mode)時,其 IE、IB、IC三者之大小關係為 何? (A) IE>IB>IC (B) IC>IB>IE (C) IE>IC>IB (D) IC>IE>IB
15 圖示為雙極性接面電晶體(BJT)的轉移特性曲線。若要使輸出電壓 vCE失真最小,其工作點應選擇 在:
(A) A (B) B (C) C (D) D
16 一多級放大器之電壓放大率為 1000 倍,其輸入阻抗為 10 KΩ、負載阻抗為 100 KΩ,則此多級放大 器之功率增益為多少分貝(dB)? (A) 30 dB (B) 50 dB (C) 60 dB (D) 100 dB
17 如圖所示的振盪器電路,則 v
o
的波形為何?
(A)方波 (B)鋸齒波 (C)三角波 (D)弦波
18 若下圖電路放大器之飽和電壓為 ± 10 V,則下列何者為其可能之輸入-輸出轉換曲線?
19 下列關於 SR 正反器(SR Flip-Flop)之敘述,何者正確? (A) R=0,S=0 則 Q=0 (B) R=1,S=0 則 Q=0 (C) R=0,S=1 則 Q=0 (D) R=1,S=1 則 Q=0
20 若一差動放大器(Differential amplifier)的輸入電壓為 V
i 1
=150 µV,V
i 2
=50 µV 時,其輸出電壓 V
o
=101 mV;又當輸入電壓為 V
i l
=110 µV,V
i 2
=90 µV,其輸出電壓 V
o
=21 mV,則該放大器之共 模拒斥比(CMRR)應為: (A) 400 (B) 200 (C) 100 (D) 50
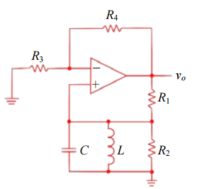
21 下圖為一振盪器電路,已知 C=0.01 µF,L=4 µH,R
3
=5 KΩ,R
4
=100 KΩ,其中 R1/R2須至少大於 何值才能滿足振盪條件?
(A) 18 (B) 19 (C) 20 (D) 22
22 有一運算放大器的轉動率(Slew Rate)=0.5 V/µs,假設此運算放大器之輸出電壓最大值為 5 V,則 此運算放大器在輸出不允許失真的狀況下,輸入所能允許正弦波之最高頻率約為: (A) 8.2 kHz (B) 15.9 kHz (C) 19.5 kHz (D) 31.8 kHz
23 如圖所示電路為一低通濾波器,則其輸出入電壓之轉移函數
為:
24 如下圖,兩 OPA 均為理想運算放大器,則下列何組電阻值可使電壓增益 V
o/
V
i
=10?
(A) R1=2 KΩ,R2=4 KΩ,R3=3 KΩ (B) R1=3 KΩ,R2=6 KΩ,R3=3 KΩ (C) R1=4 KΩ,R2=2 KΩ,R3=6 KΩ (D) R1=1 KΩ,R2=4 KΩ,R3=5 KΩ
25 下圖雙級放大器中使用相同之電晶體,則下列敘述何者錯誤?
(A)電壓增益為單級放大器之平方 (B)轉移函數有兩個相同的主極點 (C)主極點頻率正比於偏壓電流(I) (D)輸出電阻反比於偏壓電流(I)
26 如下圖的電路,假設運算放大器為理想元件,則電路的閉迴路電壓增益
為:
(A) 2010 (B)-2010 (C) 1020 (D)-1020
27 如圖所示之 B 類推挽放大電路中,R
L
=5 Ω,若已知其最大輸出功率為 10 W,則 V
CC
為:
(A) 7.07 V (B) 10 V (C) 14.14 V (D) 20 V
28 如圖所示電路,為一反相輸入型樞密特觸發(Schmitt Trigger)電路及其輸入-輸出曲線圖,若參考 電壓 V
ref
=3 V,輸入電壓 V
i
為振幅± 10 V 之弦波,電阻 R
1
=3 kΩ,R
2
=2 kΩ,則遲滯(Hysteresis) 電壓 V
H
為:
(A) 30 V (B) 24 V (C) 12 V (D) 10 V
29 為何動態 RAM(DRAM)需要週期性的再生(Refresh)? (A)因為電容非理想,會漏電 (B)因為電晶體非理想,會漏電 (C)因為基板會導電 (D)因為系統編碼需要
30 如圖電路設運算放大器為理想的,若 R1=R2;R3=R4,則 V
o
/(V
2
-V
1
)為:
(A) 2 (B) 1 (C) 1/2 (D) 0
31 如圖,下列何者正確?
(A) Y=(A+B)CD (B) Y=AB+C+D (C) A=0 則 Y=0 (D) D=1 則 Y=0
32 下圖所示之電流源(current source)電路,若是已知電晶體 Q
2
係操作於順向作用區(forward active region),且其厄利電阻(Early resistance)為 r
o
,則下列敘述何者正確?
(A)輸出電流,I,會隨著電阻 R 的增加而增加,且此電流源之輸出電阻為r
o
(B)輸出電流,I,會隨著電阻 R 的增加而減少,且此電流源之輸出電阻為r
o
(C)輸出電流,I,會隨著電阻 R 的增加而增加,且此電流源之輸出電阻為無限大 (D)輸出電流,I,會隨著電阻 R 的增加而減少,且此電流源之輸出電阻為無限大
33 如圖所示為穩壓電路,若其中 R1=1 kΩ,R2=20 kΩ,R3=20 kΩ,則輸出電壓V
o
為:
(A) 5 V (B) 8 V (C) 10 V (D) 12 V
34 小明在量測實驗室所作出的矽晶電晶體,發現開燈和關燈所量測到的電流-電壓特性相差很多。下 列何者為最可能的原因? (A)照光後元件發生崩潰現象 (B)照光後的輻射熱效應 (C)照光後,矽晶體吸光所產生的光電流 (D)照光後,矽晶體熱漲冷縮所誘發的電流改變
35 在共射極單級放大器中,其高頻響應最主要受限於下列何種效應? (A)厄利效應(Early Effect) (B)米勒效應(Miller Effect) (C)穿隧效應(Tunnel Effect) (D)崩潰效應(Breakdown Effect)
36 如圖所示,利用電晶體、二極體及電阻組成數位正邏輯電路,若 V
cc
=5 V,電阻值 R
1
=4 kΩ、 R
2
=1.6 kΩ、R
3
=1 kΩ、R
4
=130 Ω,若輸入電壓 V
A
=5 V,且 V
B
=5 V,則下列敘述何者正確?
(A) Q
2
截止、Q
3
導通、Q
4
截止、輸出電壓 V
o
為高位準 (B) Q
2
截止、Q
3
截止、Q
4
導通、輸出電壓 V
o
為低位準 (C) Q
2
導通、Q
3
導通、Q
4
截止、輸出電壓 V
o
為高位準 (D) Q
2
導通、Q
3
截止、Q
4
導通、輸出電壓 V
o
為低位準
37 以增強型(enhancement mode)MOSFET 當作負載的一個 NMOSFET 放大器,其輸出信號擺幅的最 大值為何? (A) V
DD
/2 (B) V
DD
(C) V
DD
+V
tn
(臨限電壓) (D) V
DD
-V
tn
38 下面的通道形狀在下列那一種條件下會產生?(設 V
GS
>V
t
)
(A) V
GS
-V
DS
>V
t
(B) V
GS
-V
DS
=V
t
(C) V
GS
-V
DS
<V
t
(D)皆不會
39 如圖所示電路,假設輸入電壓 V
i
=5 V,而正、負飽和輸出電壓為 ± 15 V,則輸出電壓 V
o
為:
(A)+5 V (B)-5 V (C)+15 V (D)-15 V
40 場效應電晶體(FET)是屬於: (A)電流控制電流源(Current Controlled Current Source) (B)電壓控制電壓源(Voltage Controlled Voltage Source) (C)電流控制電壓源(Current Controlled Voltage Source) (D)電壓控制電流源(Voltage Controlled Current Source)
申論題 (0)
相關試卷
115年 - 115 初等考試_電子工程:電子學大意#136710
115年 · #136710
114年 - 114 初等考試_電子工程:電子學大意#124880
114年 · #124880
113年 - 113 初等考試_電子工程:電子學大意#118527
113年 · #118527
112年 - 112 地方政府特種考試_五等_電子工程:電子學大意#118362
112年 · #118362
112年 - 112 鐵路、國家安全情報特種考試_佐級、五等_電子工程、電子組:電子學大意#114944
112年 · #114944
112年 - 112 身心障礙特種考試_五等_電子工程:電子學大意#113943
112年 · #113943
112年 - 112 初等考試_電子工程:電子學大意#112891
112年 · #112891
111年 - 111 地方政府特種考試_五等_電子工程:電子學大意#112600
111年 · #112600
111年 - 111 鐵路特種考試_佐級_電子工程:電子學大意#108515
111年 · #108515
111年 - 111 初等考試_電子工程:電子學大意#105667
111年 · #105667