阿摩線上測驗
登入
首頁
>
微積分
> 98年 - 098年升官等、98年關務人員升官等薦任_天文#34124
98年 - 098年升官等、98年關務人員升官等薦任_天文#34124
科目:
微積分 |
年份:
98年 |
選擇題數:
0 |
申論題數:
8
試卷資訊
所屬科目:
微積分
選擇題 (0)
申論題 (8)
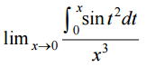
【已刪除】一、試求極限值
(20 分)
二、試求函數 y(x)滿足下列微分方程式:
y′′(x) + 3y′(x) −10y(x) = −11sin x + 3 cos x且 y(0) = 4及 y′(0) = 2。(20 分)
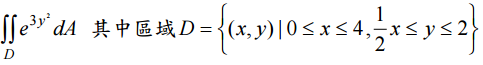
【已刪除】⑴
。(10 分)
【已刪除】⑵
。(10 分)
⑴畫 f (x)的圖形。(10 分)
⑵求 f (x)的最小值。(10 分)
【已刪除】⑴
(10 分)
【已刪除】⑵
(10 分)
相關試卷
114年 - 114 公務升官等考試_薦任_物理:微積分#133273
114年 · #133273
114年 - 114 一般警察特種考試_三等_消防警察人員:微積分#127792
114年 · #127792
113年 - 113 普通考試_天文:微積分#121499
113年 · #121499
113年 - 113 一般警察特種考試_三等_消防警察人員:微積分#120498
113年 · #120498
112年 - 112 公務升官等考試_薦任_物理:微積分#117315
112年 · #117315
112年 - 112 普通考試_天文、氣象:微積分#115417
112年 · #115417
112年 - 112 一般警察特種考試_三等_消防警察人員:微積分#114953
112年 · #114953
112年 - 112 身心障礙特種考試_四等_氣象:微積分#113932
112年 · #113932
111年 - 111 普通考試_氣象:微積分#109324
111年 · #109324
111年 - 111 一般警察特種考試_三等_消防警察人員:微積分#108604
111年 · #108604