阿摩線上測驗
登入
首頁
>
微積分
> 98年 - 098年高等三級暨普通高3_氣象#35778
98年 - 098年高等三級暨普通高3_氣象#35778
科目:
微積分 |
年份:
98年 |
選擇題數:
0 |
申論題數:
8
試卷資訊
所屬科目:
微積分
選擇題 (0)
申論題 (8)
【已刪除】一、考慮曲面方程式 x
2
z
2
+ x y
2
− z
3
+ 4 yz − 5 = 0,對此方程式假設我們有 z = f (x, y)的 關係式,試計算
。(10 分)
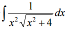
【已刪除】二、求積分
。(10 分)
【已刪除】三、求重積分
。(15 分)
四、假設V 為由 y = x
2
及兩平面 y + z = 4 , z = 0所圍的有界區域,求此有界區域V 的體 積。(15 分)
【已刪除】五、求線積分
,其中 C 分別為半徑 a, b 的同心圓; a < b ,在第一象限與 x 軸及y 軸所圍的邊界。(10 分)
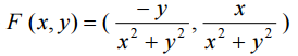
【已刪除】六、假設 F(x, y) 定義為
,C 為平面上任意包含原點的平滑 封閉曲線,試證明線積分
。(10 分)
七、假設 S 表示為 z = 9 − x
2
− y
2
曲面在 z ≥ 0的部分,令 F(x, y,z) = ( 3x, 3y, z ) ,計算 F(x, y,z)經過S 的通量(flux)。(10 分)
八、求解起始值問題: y ''− 3y '+ 2y= 3e
−x
− 10cos(3x ) ; y (0) = 1, y '(0) = 2。(20 分)
相關試卷
114年 - 114 公務升官等考試_薦任_物理:微積分#133273
114年 · #133273
114年 - 114 一般警察特種考試_三等_消防警察人員:微積分#127792
114年 · #127792
113年 - 113 普通考試_天文:微積分#121499
113年 · #121499
113年 - 113 一般警察特種考試_三等_消防警察人員:微積分#120498
113年 · #120498
112年 - 112 公務升官等考試_薦任_物理:微積分#117315
112年 · #117315
112年 - 112 普通考試_天文、氣象:微積分#115417
112年 · #115417
112年 - 112 一般警察特種考試_三等_消防警察人員:微積分#114953
112年 · #114953
112年 - 112 身心障礙特種考試_四等_氣象:微積分#113932
112年 · #113932
111年 - 111 普通考試_氣象:微積分#109324
111年 · #109324
111年 - 111 一般警察特種考試_三等_消防警察人員:微積分#108604
111年 · #108604