阿摩線上測驗
登入
首頁
>
微積分
> 98年 - 98 國家安全情報特種考試_三等_數理組(外國文選試英文):微積分#39675
98年 - 98 國家安全情報特種考試_三等_數理組(外國文選試英文):微積分#39675
科目:
微積分 |
年份:
98年 |
選擇題數:
0 |
申論題數:
7
試卷資訊
所屬科目:
微積分
選擇題 (0)
申論題 (7)
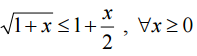
【已刪除】一、證明 ,
。(10 分)
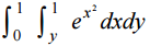
【已刪除】二、求定積分
。(10 分)
【已刪除】三、求
。(15 分)
四、求1n(1+X
2
) 在x = 0的泰勒級數展開式,並討論此級數的收斂範圍。(15 分)
五、求隱函數 x
2
+ y
3
+ y =3 在(x, y) = (1,1)之 y ′⑴?(5 分)與 y ′′⑴?(10 分)
六、證明固定周長之三角形中最大面積者為正三角形。(20 分)
七、求不定積分∫ x
2
sin
-1
xdx 。(15 分)
相關試卷
114年 - 114 公務升官等考試_薦任_物理:微積分#133273
114年 · #133273
114年 - 114 一般警察特種考試_三等_消防警察人員:微積分#127792
114年 · #127792
113年 - 113 普通考試_天文:微積分#121499
113年 · #121499
113年 - 113 一般警察特種考試_三等_消防警察人員:微積分#120498
113年 · #120498
112年 - 112 公務升官等考試_薦任_物理:微積分#117315
112年 · #117315
112年 - 112 普通考試_天文、氣象:微積分#115417
112年 · #115417
112年 - 112 一般警察特種考試_三等_消防警察人員:微積分#114953
112年 · #114953
112年 - 112 身心障礙特種考試_四等_氣象:微積分#113932
112年 · #113932
111年 - 111 普通考試_氣象:微積分#109324
111年 · #109324
111年 - 111 一般警察特種考試_三等_消防警察人員:微積分#108604
111年 · #108604