阿摩線上測驗
登入
首頁
>
微積分
> 99年 - 99年高等三級暨普通普_氣象#27587
99年 - 99年高等三級暨普通普_氣象#27587
科目:
微積分 |
年份:
99年 |
選擇題數:
0 |
申論題數:
7
試卷資訊
所屬科目:
微積分
選擇題 (0)
申論題 (7)
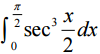
【已刪除】⑴
。(15 分)
【已刪除】
⑵
sin(9x
2
+
4y
2
)dA ,R 是被橢圓9x
2
+ 4y
2
=1 包圍的區域。(15 分)
二、求將曲線 x=(2/3)t
3/2
,y=2√t , 0 ≤ t ≤ 2√ 3繞 y 軸旋轉所得旋轉面的面積。(15 分)
【已刪除】三、證明 f(x)=
是一對一,並且求(f
-1
)' (0) 1。(15 分)
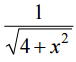
【已刪除】四、利用二項級數求 f (x) =
的馬克勞林級數、其收斂半徑、及 f
(10)
(0)。(20 分)
⑴ f 在(0,0)是否可微?
【已刪除】⑵令單位向量
是否存在?
相關試卷
114年 - 114 公務升官等考試_薦任_物理:微積分#133273
114年 · #133273
114年 - 114 一般警察特種考試_三等_消防警察人員:微積分#127792
114年 · #127792
113年 - 113 普通考試_天文:微積分#121499
113年 · #121499
113年 - 113 一般警察特種考試_三等_消防警察人員:微積分#120498
113年 · #120498
112年 - 112 公務升官等考試_薦任_物理:微積分#117315
112年 · #117315
112年 - 112 普通考試_天文、氣象:微積分#115417
112年 · #115417
112年 - 112 一般警察特種考試_三等_消防警察人員:微積分#114953
112年 · #114953
112年 - 112 身心障礙特種考試_四等_氣象:微積分#113932
112年 · #113932
111年 - 111 普通考試_氣象:微積分#109324
111年 · #109324
111年 - 111 一般警察特種考試_三等_消防警察人員:微積分#108604
111年 · #108604