阿摩線上測驗
登入
首頁
>
微積分
>
99年 - 99年高等三級暨普通普_氣象#27587
> 申論題
題組內容
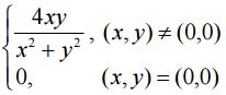
五、設 f (x)=
,回答下列問題:(20 分)
⑴ f 在(0,0)是否可微?
相關申論題
二、求將曲線 x=(2/3)t3/2 ,y=2√t , 0 ≤ t ≤ 2√ 3繞 y 軸旋轉所得旋轉面的面積。(15 分)
#49989
七、繪製 z= |✖| + |y|的圖形。(15 分)
#556240
六、設z =sin-1 (tan( xy) 。證明=(x+y)sec2(xy)sec z。(15 分)
#556239
五、求過曲線xy3+4x2 = 5 上一點(1,1) 的切線方程式。(15 分)
#556238
四、設函數f(x,y)= ,試問函數 f(x y, ) 在(0,0)是否連續?(15 分)
#556237
三、求線積分 ∫cex sin (2y )dx + 2ex cos(2y)dy , 其中曲線是沿著軌跡( t,t2 )從(0,0)到(1,1)的拋物線段。(15 分)
#556236
二、求曲線( x2+y2 )2 =x2 + y2−4 所圍區域的面積。(15 分)
#556235
一、設f (x) = ex2,求 f(100)(0),其中 f(100)代表函數的第 100 階導函數。(10 分)
#556234
五、請證明常態機率密度函數圖形的反曲點在 x = ±1。
#544104
四、求函數 f ( x) = - x2 + x 與 x 軸所圍成區域對 x 軸旋轉的立體體積。
#544103
相關試卷
114年 - 114 公務升官等考試_薦任_物理:微積分#133273
114年 · #133273
114年 - 114 一般警察特種考試_三等_消防警察人員:微積分#127792
114年 · #127792
113年 - 113 普通考試_天文:微積分#121499
113年 · #121499
113年 - 113 一般警察特種考試_三等_消防警察人員:微積分#120498
113年 · #120498
112年 - 112 公務升官等考試_薦任_物理:微積分#117315
112年 · #117315
112年 - 112 普通考試_天文、氣象:微積分#115417
112年 · #115417
112年 - 112 一般警察特種考試_三等_消防警察人員:微積分#114953
112年 · #114953
112年 - 112 身心障礙特種考試_四等_氣象:微積分#113932
112年 · #113932
111年 - 111 普通考試_氣象:微積分#109324
111年 · #109324
111年 - 111 一般警察特種考試_三等_消防警察人員:微積分#108604
111年 · #108604