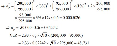
21. 有一投資組合包含甲、乙兩種股票,在甲股票投資$200,000,在乙股票投資$95,000,倘若甲股
票的日波動度為 3%,乙股票的日波動度為 1%,此二者的相關係數為 0.6,在 99%的信賴區間之下,
請計算一天的 VAR 為何?(註:標準常態值 Z(0.1)=1.282, Z(0.01)=2.33, Z(0.025)=1.96)
(A)231,184
(B)9,922.06
(C)15,410.18
(D)48,731.26
答案:登入後查看
統計: A(9), B(12), C(86), D(3), E(0) #1967938
統計: A(9), B(12), C(86), D(3), E(0) #1967938
詳解 (共 1 筆)
#4346092

圖中 將 根號10 改為1 結果就是 15410 這題GOOGLE好久
4
0