阿摩線上測驗
登入
首頁
>
應用數學(包括微積分、微分方程與向量分析)
>
112年 - 112 高等考試_三級_天文、氣象:應用數學(包括微積分、微分方程與向量分析)#115744
> 申論題
題組內容
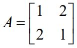
二、令
(一)求P使得P
-1
AP= D ,其中D為一diagonal matrix。(15分)
相關申論題
(一)求函數 f ( x, y ) = x3-3y2+ 6xy-x-9y+10 在點 (1, -1) 之最大方向導數(directional derivative)。(10分)
#494754
(二)求函數 f ( x, y ) = x2+y2 +2x- 2y+12 在x2+y2≤ 4 之範圍內之最大值及最小值。(15分)
#494755
(二)求初始值問題之解。(20分)
#494757
(一)求函數 f 之傅立葉級數(Fourier series)。(15分)
#494758
(二)求初始值問題ut ( x, t ) = uxx ( x, t ),x(-π,π) , t > 0,ux (-π , t ) = ux (π, t ) = 0, u ( x, 0) = x2 之解。(25分)
#494759
五、令 ( 單 位 圓 ), 利 用 散 度 定 理 ( divergence theorem)算出∫∫B (3x2 +4y3 )dxdy 。(15 分)
#555981
四、計算雙重積分。(10 分)
#555980
三、求函數f (x ,y ,z ) =xyz 在橢圓面上的最大值及最小值。(25 分)
#555979
二、求下列微分方程初始值問題的解:(25 分)
#555978
(二)承上題,請說明在這力場下將粒子從點移至點所做的功與路徑無關(請詳述理由) 。(15 分)
#555977
相關試卷
114年 - 114 公務升官等考試_薦任_天文:應用數學(包括微積分、微分方程、向量分析)#133249
114年 · #133249
114年 - 114 高等考試_三級_天文:應用數學(包括微積分、微分方程與向量分析)#128455
114年 · #128455
113年 - 113 高等考試_三級_天文:應用數學(包括微積分、微分方程與向量分析)#121525
113年 · #121525
112年 - 112 高等考試_三級_天文、氣象:應用數學(包括微積分、微分方程與向量分析)#115744
112年 · #115744
111年 - 111 高等考試_二級_氣象:應用數學(包括微積分、微分方程、初步複變函數與向量分析)#111014
111年 · #111014
111年 - 111 高等考試_三級_天文、氣象:應用數學(包括微積分、微分方程與向量分析)#109450
111年 · #109450
110年 - 110 高等考試_三級_氣象:應用數學(包括微積分、微分方程與向量分析)#102743
110年 · #102743
109年 - 109 高等考試_三級_氣象:應用數學(包括微積分、微分方程與向量分析)#88983
109年 · #88983
108年 - 108 地方政府特種考試_三等_天文:應用數學(包括微積分、微分方程與向量分析)#81251
108年 · #81251
108年 - 108 公務升官等考試_薦任_天文:應用數學(包括微積分、微分方程、向量分析)#80516
108年 · #80516