阿摩線上測驗
登入
首頁
>
高中指考◆數學乙
>
94年 - 94 大學入學考試中心_指定科目考試:數學乙#114996
> 申論題
題組內容
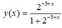
二、根據過去長期統計資料顯示:某公司推銷員的年資x (年),與每次推銷成功的機率y(x),滿足下列關係式:
(2) 說明年資8年(含)以上的推銷員,每次推銷不成功的機率小於4%。(7分)
相關申論題
A. 如圖所示設一正立方體的中心為O,而A,B為此正立方體同一面上的兩個對頂點,則cos∠AOB = 。(以最簡分數表示)
#490881
B. 下圖是從事網路工作者經常用來解釋網路運作的蛇形模型:數字1出現在第1列;數字2,3出現在第2列;數字6,5,4(從左至右)出現在第3列;數字7,8,9,10出現在第4列;依此類推。試問第99列,從左至右算,第67個數字為__⑧⑨⑩⑪__。
#490882
C. 設104的所有正因數的乘積為n,則log n=__⑫⑬__。
#490883
D. 小明玩戰爭網路遊戲,在螢幕上有一坐標平面,飛機P以等速直線前進,在坐標(-12,4)的位置被發現,經過1秒後到達坐標(-10,4),再經1秒後,小明從原點選一方向發射一飛彈R,假設R也以直線前進且速率跟P相同,而且R剛好擊中P。試求R擊中P時的坐標(a,b)為__⑭⑮,⑯__。
#490884
E. 一實驗室培養兩種菌,令〈an〉和〈bn〉分別代表兩種培養菌在時間點n的數量,彼此有如下的關係:an+1=2(an+bn),b=n+1=2bn (n=0,1,2,...).若二階方陣 ,(其中n=0,1,2,…),則a=__⑰__,b=__⑱⑲__,c=__⑳__,d=。
#490885
(1) 一個年收入30萬元以下的貸款者,會還錢的機率為何? (4分)
#490886
(2) 銀行貸款給一個年收入30萬元以下的客戶,銀行的獲利期望值為多少元? (6分)
#490887
(1) 化簡 r(x)=,並說明r(x)的值隨x增大而增大(即r(x)為遞增函數)。 (6分)
#490888
18. 已知某人的農地收成時,甲水果每公畝可獲利6萬元、乙水果每公畝可獲利 7 萬元。 試求某 人種植甲、乙兩種水果的最大獲利為多少萬元 ? 在答題卷求解區寫出計算過程,並在答題卷作圖區畫出可行解區域及標出其所有頂點坐標,且以斜線標示該區域 。( 非選擇題, 8 分 )
#553361
17. 試將某人對甲面積、乙面積所設定的三個條件,以 x、 y 的 二元一次聯立不等式 表示 。( 非 選擇題 , 4 分 )
#553360
相關試卷
114年 - 114 大學入學考試中心_分科測驗:數學乙#131153
114年 · #131153
110年 - 110 大學入學考試中心_指定科目考試:數學乙#99979
110年 · #99979
109年 - 109(補考) 大學入學考試中心_指定科目考試:數學乙#89674
109年 · #89674
109年 - 109 大學入學考試中心_指定科目考試:數學乙#87876
109年 · #87876
108年 - 108 大學入學考試中心_指定科目考試:數學乙#97808
108年 · #97808
107年 - 107 大學入學考試中心_指定科目考試:數學乙#97823
107年 · #97823
106年 - 106 大學入學考試中心_指定科目考試參考試卷:數學乙#114987
106年 · #114987
106年 - 106 大學入學考試中心_指定科目考試:數學乙#62741
106年 · #62741
105年 - 105 大學入學考試中心_指定科目考試:數學乙#53359
105年 · #53359
104年 - 104 大學入學考試中心_指定科目考試:數學乙#114989
104年 · #114989