阿摩線上測驗 登入

申論題資訊

試卷:103年 - 103 高等考試_三級_統計:抽樣方法#39506
科目:抽樣方法
年份:103年
排序:0

題組內容

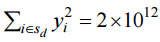
二、在某鎮所進行的年度家庭醫療支出調查中,調查戶為以簡單隨機抽樣取出不放回 (simple random sampling without replacement)在全鎮 10,000 戶中所選取之 1,000 戶 樣本戶。調查結束後所得之家戶醫療支出樣本平均為 150 仟元。今欲進一步探討家 戶收入在 50 仟元/月以下之低收入戶醫療支出概況,因無財稅資料可供查考,故僅 能由樣本資料判定受訪戶是否為符合前述定義之低收入戶,但無法得知本鎮符合定 義之低收入戶總戶數。 檢視樣本資料後,符合此一定義之受訪戶共有 100 戶,而該 100 戶之年醫療支出總 和為 8,000 仟元,另該 100 戶之年醫療支出平方和為 2×1012。(亦即若令 yi  為第 i 戶 之 年 醫 療 支 出 ,  sd 為 樣 本 戶 中 之 低 收 入 戶 集 合 , 則 以 及  。)

申論題內容

(2)請估計 中估計量之 95%信賴區間,請以仟元為單位,並請四捨五入至小數點下 第二位。(8 分)