題組內容
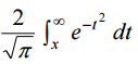
四、定義互補誤差函數
,通訊系統欲在 AWGN(additive white Gaussian noise)通道中(平均值為 0,功率頻譜密度為
)傳送 bit duration 為 Tb 之二元訊號, 
,通訊系統欲在 AWGN(additive white Gaussian noise)通道中(平均值為 0,功率頻譜密度為
)傳送 bit duration 為 Tb 之二元訊號, 
而且“1”和“0”發生之機率相同。請問:(每小題 10 分,共 20 分)