題組內容
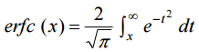
五、定 義 互 補 誤 差 函 數
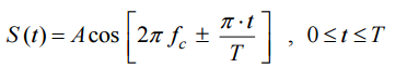
, binary FSK 訊 號 發 送 機 制 在 AWGN(additive white Gaussian noise)通道中(平均值為 0,功率頻譜密度為
)
, binary FSK 訊 號 發 送 機 制 在 AWGN(additive white Gaussian noise)通道中(平均值為 0,功率頻譜密度為
) 傳送訊號:

其中,“+”號代表傳送“0”,“-”號代表傳送“1”。(每小題 10 分,共 20 分)