阿摩線上測驗
登入
首頁
>
微積分
>
108年 - 108 一般警察三等 微積分#76995
> 申論題
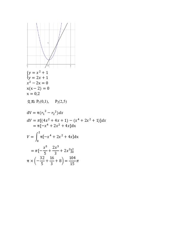
六、
詳解 (共 1 筆)
詳解
提供者:江彥群
相關申論題
一、定義函數。試求 之值。(10 分)(註:須在使用處說明所使用的定理或法則的名稱。)
#311420
二、試求適當的實數 a 和 b 滿足下列極限等式。(15 分) (註:須在使用處說明所使用的定理或法則的名稱。)
#311421
三、試求橢圓與直線x +y = 6的(最短)距離。(15 分)
#311422
四、試求曲線線段 的長度。(15 分)
#311423
五、導出下列遞迴公式: ⑴ 。(9 分) (註:只有導出此遞迴公式才給分。) ഏ
#311424
五、導出下列遞迴公式:⑵
#311425
七、
#311427
七、繪製 z= |✖| + |y|的圖形。(15 分)
#556240
六、設z =sin-1 (tan( xy) 。證明=(x+y)sec2(xy)sec z。(15 分)
#556239
五、求過曲線xy3+4x2 = 5 上一點(1,1) 的切線方程式。(15 分)
#556238
相關試卷
114年 - 114 公務升官等考試_薦任_物理:微積分#133273
114年 · #133273
114年 - 114 一般警察特種考試_三等_消防警察人員:微積分#127792
114年 · #127792
113年 - 113 普通考試_天文:微積分#121499
113年 · #121499
113年 - 113 一般警察特種考試_三等_消防警察人員:微積分#120498
113年 · #120498
112年 - 112 公務升官等考試_薦任_物理:微積分#117315
112年 · #117315
112年 - 112 普通考試_天文、氣象:微積分#115417
112年 · #115417
112年 - 112 一般警察特種考試_三等_消防警察人員:微積分#114953
112年 · #114953
112年 - 112 身心障礙特種考試_四等_氣象:微積分#113932
112年 · #113932
111年 - 111 普通考試_氣象:微積分#109324
111年 · #109324
111年 - 111 一般警察特種考試_三等_消防警察人員:微積分#108604
111年 · #108604