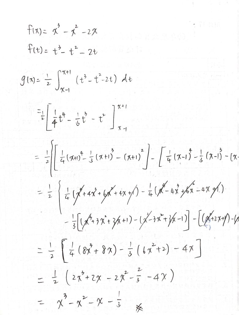
3. 已知f(x)=x3-x2-2x,
,求 g(x) 的極值。
詳解 (共 2 筆)
詳解
如圖所示:


詳解
如圖所示:

